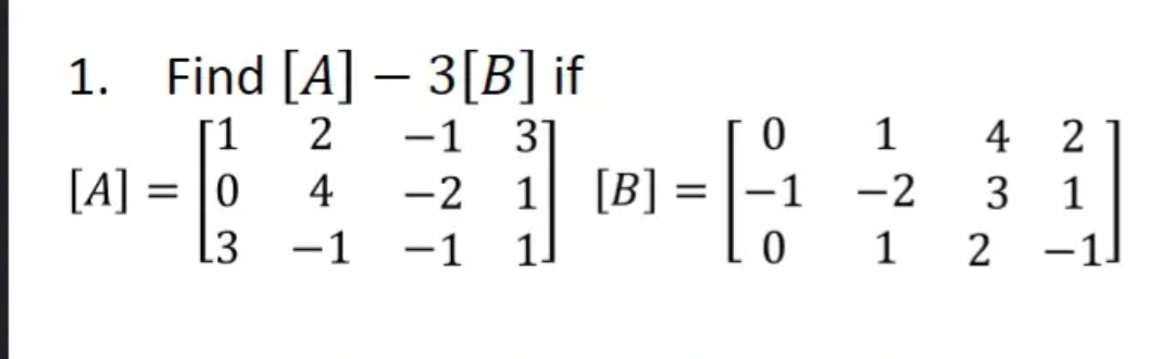
Question: please help me answer this 1. Find [A] - 3[B] if 1 2 -1 3 0 1 4 2 [A] = 0 4 -2 1
please help me answer this
![please help me answer this 1. Find [A] - 3[B] if 1](https://s3.amazonaws.com/si.experts.images/answers/2024/06/667d15fc1c9ca_659667d15fbd29ba.jpg)
1. Find [A] - 3[B] if 1 2 -1 3 0 1 4 2 [A] = 0 4 -2 1 [B] = -1 -2 3 1 3 -1 -1 : 0 1 2 -1
Step by Step Solution
There are 3 Steps involved in it
Get step-by-step solutions from verified subject matter experts
