Question: Please help me construct the cash flow statement using the INDIRECT method. I've provided the adjusted trial balance, income summary, as well as the balance
Please help me construct the cash flow statement using the INDIRECT method. I've provided the adjusted trial balance, income summary, as well as the balance sheet.




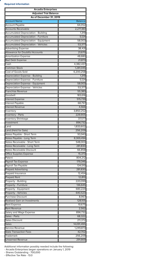
000 - Required information Arcadia Enterprises Adjusted Trial Balance As of December 31, 2019 Account Name Account Payable Accounts Receivable ALLOON Accumulated Depreciation - Building andere Accumulated Depreciation - Furniture canadie Deprecia Accumulated Depreciation - Equipment Accumulated Depreciation - Vehicles Advertising Expense Allowance for Doubtful Accounts Amortization Expense Bad Debt Expense Cash Common Stock Cost of Goods Sold Depreciation Expense - Building Depreciation Expense - Furniture Depreciation Expense - Equipment Depreciation Expense - Vehicles Franchise Revenue Goodwill Interest Expense Interest Payable Interest Revenue Inventory Inventory - Parts Inventory Shrinkage Investment Land od Land (Held for Sale) NA Notes Payable - Short Term Notes Payable - Long Term Notes Receivable - Short Term ol Notes Receivable - Long Term Notes Receivable Discount helic Office Supplies Expense Patent . Payroll Tax Expense Payroll Tax Payable Prepaid Advertising Prepaid Insurance Breid Prepaid Rent Midi Property - Building Property - Furniture Property - Equipment Property - Vehicles Purchase Discount Realized Gain on Investments Rent Expense Rent Revenue Salary and Wage Expense Sales Discount Sales Balance 64,052 2,271,961 1,319 le 5,124 58,003 53,377 . 38,431 sonte 21,670 48,680 21,873 er 4,382,437 1,281,045 6,200.258 1,319 5,124 58,003 53.377 55,383 183,616 515,739 . 68,797 4,566 3,850,252 229,905 37,577 896,732 1,833,602 256,209 93,943 8,369,494 10 548,003 281,830 2 66,858 15,373 804,212 179,346 134,510 w 281,830 12,454 11 12,810 220,099 TOGGAE 136,645 683,224 640,523 8,967 040 128,105 10.675 TER 2,562 896,732 2014 68,322 211,372 14,091,495 1,249,873 er 42,702 256,209 291,669 Service Revenue Pervice State Transaction Fees Trademark Unearned Revenue Additional information possibly needed include the following: Arcadia Enterprises began operations on January 1, 2019 - Shares Outstanding - 700,000 - Effective Tax Rate - 13.0 Create the financial statements as described Closing Entry Tax Closing Entry Income Summary Balance Sheet Indirect Cash Flow Statement Financial Ratios Create a Balance Sheet using the format from Page 121 1 2 3 4 5 4,382,437 6 B Arcadia Enterprises Balance Sheet As of December 31, 2018 Assets Current Assets Cash Accounts Receivable 2.271.961 Allowance for Doubtful Accounts (21,670 Notes Receivable - Short Term 548,003 Notes Receivable Discount 66.858 Inventory Inventory - Parts Prepaid Advertising Prepaid Insurance Prepaid Rent 7 8 9 10 3,850.252 11 12 229,906 281.830 12.454 12,810 13 14 15 11,634,840 16 Total Current Assets Investments Investment Land (held for sale) ) 17 896,732 18 256,209 19 20 21 22 Property. Plant and Equipment Property - Building Property - Equipment Property - Furniture Property - Vehicle Land 23 220,099 683,224 136,645 640,523 1,833,602 24 25 26 27 28 3,514.093 (1,319) ) (53,377) (5,124) (58,003) Accumulated Depreciation - Building Accumulated Deprecation - Vehicles Accumulated Depreciation - Furniture Accumulated Depreciation - Equipment 29 30 31 3,396,270 32 33 Net Property, Plant and Equipment Intangible Assets Trademark Patent Goodwill 34 256,209 804 212 183,616 35 17.428,088 36 37 Total Assets 38 Liabilities and Shareholders' Equity Current Liabilities 39 Accounts Payable 40 Payroll Tax Payable 41 Unearned Revenue 42 Notes Payable - Short Term 43 Interest Payable Income Tax Payable 64,052 134,510 291,669 93.943 65.797 944.300 45 46 1,597 271 Total Current Liabilities Long-Term Liabilities Notes Payable - Long Term 47 8,368,494 48 49 8,368.494 50 Total Long-Term Liabilities Shareholders' Equity Common Stock Retained Earnings 51 1,281,045 7,310,269 52 53 54 8,591,314 Total Shareholders' Equity Total Liabilities and Shareholders' Equity 55 18,557,079 56 57 Closing Entry Tax Closing Entry Income Summary Balance Sheet Indirect Cash Flow Statement Financial Ratios Create a single step income statement using the one on page 171 as an example. Don't forget the earnir share. B 1 2 Arcadia Enterprises Income Statement As of December 31, 2018 3 4 5 14,091,495 (211,372) 55,383 6 7 Revenue and Gains Sales Sales Discount Franchise Revenue Interest Revenue Realized Gains on Investment Rent Revenue Sales - Parts 8 4,566 128,105 2.562 9 68.322 10 11 14,139,061 12 Total Revenue and Gains 13 Expenses and Losses 14 Advertising Expense 15 Accumulated Depreciation - Building Accumulated Depreciation - Furniture 16 Depreciation Expense - Equipment 17 Depreciation Expense - Vehicle 18 Patent 19 Amortization Expense 20 Bad Debt Expense 21 Interest Expense 22 Office Supplies Expense Rent Expense 23 Salary and Wage Expense 24 Payroll Tax Expense 25 38,431 1,319 5,124 58,003 53,377 804,212 48.680 21,873 515,739 15,373 10,675 896,732 179,346 26 27 28 29 30 Total Expenses and Losses Net Income Before Taxes Income Tax Expense Net Income 11,421,855.00 2,717,206 944,300 1,772,906 31 32 33 Create the financial statements as described Closing Entry Tax Closing Entry Income Summary Balance Sheet Indirect Cash Flow Statement Financial Ratios Create a Cash Flow Statement, using the Indirect Method using the examples on Pag B 1 2 3 Arcadia Enterprises Statement of Cash Flows For the Year Ending December 31, 2018 4 5 6 7 7 Cash Flow from Operating Activities Net Income Adjustments for Noncash Effects Depreciation Expense - Building Depreciation Expense - Equipment Depreciation Expense - Furniture Depreciation Expense - Vehicle 8 9 10 11 12 13 14 Changes in Operating Assets and Liabilities 15 16 17 18 19 20 21 22 23 24 25 26 27 28 Cash Flow from Financing Activities 29 30 31 32 33 34 35 36 37 38 39 40 41 Cash Flow from Investing Activities 42 43 44 45 46 47 48 49 000 - Required information Arcadia Enterprises Adjusted Trial Balance As of December 31, 2019 Account Name Account Payable Accounts Receivable ALLOON Accumulated Depreciation - Building andere Accumulated Depreciation - Furniture canadie Deprecia Accumulated Depreciation - Equipment Accumulated Depreciation - Vehicles Advertising Expense Allowance for Doubtful Accounts Amortization Expense Bad Debt Expense Cash Common Stock Cost of Goods Sold Depreciation Expense - Building Depreciation Expense - Furniture Depreciation Expense - Equipment Depreciation Expense - Vehicles Franchise Revenue Goodwill Interest Expense Interest Payable Interest Revenue Inventory Inventory - Parts Inventory Shrinkage Investment Land od Land (Held for Sale) NA Notes Payable - Short Term Notes Payable - Long Term Notes Receivable - Short Term ol Notes Receivable - Long Term Notes Receivable Discount helic Office Supplies Expense Patent . Payroll Tax Expense Payroll Tax Payable Prepaid Advertising Prepaid Insurance Breid Prepaid Rent Midi Property - Building Property - Furniture Property - Equipment Property - Vehicles Purchase Discount Realized Gain on Investments Rent Expense Rent Revenue Salary and Wage Expense Sales Discount Sales Balance 64,052 2,271,961 1,319 le 5,124 58,003 53,377 . 38,431 sonte 21,670 48,680 21,873 er 4,382,437 1,281,045 6,200.258 1,319 5,124 58,003 53.377 55,383 183,616 515,739 . 68,797 4,566 3,850,252 229,905 37,577 896,732 1,833,602 256,209 93,943 8,369,494 10 548,003 281,830 2 66,858 15,373 804,212 179,346 134,510 w 281,830 12,454 11 12,810 220,099 TOGGAE 136,645 683,224 640,523 8,967 040 128,105 10.675 TER 2,562 896,732 2014 68,322 211,372 14,091,495 1,249,873 er 42,702 256,209 291,669 Service Revenue Pervice State Transaction Fees Trademark Unearned Revenue Additional information possibly needed include the following: Arcadia Enterprises began operations on January 1, 2019 - Shares Outstanding - 700,000 - Effective Tax Rate - 13.0 Create the financial statements as described Closing Entry Tax Closing Entry Income Summary Balance Sheet Indirect Cash Flow Statement Financial Ratios Create a Balance Sheet using the format from Page 121 1 2 3 4 5 4,382,437 6 B Arcadia Enterprises Balance Sheet As of December 31, 2018 Assets Current Assets Cash Accounts Receivable 2.271.961 Allowance for Doubtful Accounts (21,670 Notes Receivable - Short Term 548,003 Notes Receivable Discount 66.858 Inventory Inventory - Parts Prepaid Advertising Prepaid Insurance Prepaid Rent 7 8 9 10 3,850.252 11 12 229,906 281.830 12.454 12,810 13 14 15 11,634,840 16 Total Current Assets Investments Investment Land (held for sale) ) 17 896,732 18 256,209 19 20 21 22 Property. Plant and Equipment Property - Building Property - Equipment Property - Furniture Property - Vehicle Land 23 220,099 683,224 136,645 640,523 1,833,602 24 25 26 27 28 3,514.093 (1,319) ) (53,377) (5,124) (58,003) Accumulated Depreciation - Building Accumulated Deprecation - Vehicles Accumulated Depreciation - Furniture Accumulated Depreciation - Equipment 29 30 31 3,396,270 32 33 Net Property, Plant and Equipment Intangible Assets Trademark Patent Goodwill 34 256,209 804 212 183,616 35 17.428,088 36 37 Total Assets 38 Liabilities and Shareholders' Equity Current Liabilities 39 Accounts Payable 40 Payroll Tax Payable 41 Unearned Revenue 42 Notes Payable - Short Term 43 Interest Payable Income Tax Payable 64,052 134,510 291,669 93.943 65.797 944.300 45 46 1,597 271 Total Current Liabilities Long-Term Liabilities Notes Payable - Long Term 47 8,368,494 48 49 8,368.494 50 Total Long-Term Liabilities Shareholders' Equity Common Stock Retained Earnings 51 1,281,045 7,310,269 52 53 54 8,591,314 Total Shareholders' Equity Total Liabilities and Shareholders' Equity 55 18,557,079 56 57 Closing Entry Tax Closing Entry Income Summary Balance Sheet Indirect Cash Flow Statement Financial Ratios Create a single step income statement using the one on page 171 as an example. Don't forget the earnir share. B 1 2 Arcadia Enterprises Income Statement As of December 31, 2018 3 4 5 14,091,495 (211,372) 55,383 6 7 Revenue and Gains Sales Sales Discount Franchise Revenue Interest Revenue Realized Gains on Investment Rent Revenue Sales - Parts 8 4,566 128,105 2.562 9 68.322 10 11 14,139,061 12 Total Revenue and Gains 13 Expenses and Losses 14 Advertising Expense 15 Accumulated Depreciation - Building Accumulated Depreciation - Furniture 16 Depreciation Expense - Equipment 17 Depreciation Expense - Vehicle 18 Patent 19 Amortization Expense 20 Bad Debt Expense 21 Interest Expense 22 Office Supplies Expense Rent Expense 23 Salary and Wage Expense 24 Payroll Tax Expense 25 38,431 1,319 5,124 58,003 53,377 804,212 48.680 21,873 515,739 15,373 10,675 896,732 179,346 26 27 28 29 30 Total Expenses and Losses Net Income Before Taxes Income Tax Expense Net Income 11,421,855.00 2,717,206 944,300 1,772,906 31 32 33 Create the financial statements as described Closing Entry Tax Closing Entry Income Summary Balance Sheet Indirect Cash Flow Statement Financial Ratios Create a Cash Flow Statement, using the Indirect Method using the examples on Pag B 1 2 3 Arcadia Enterprises Statement of Cash Flows For the Year Ending December 31, 2018 4 5 6 7 7 Cash Flow from Operating Activities Net Income Adjustments for Noncash Effects Depreciation Expense - Building Depreciation Expense - Equipment Depreciation Expense - Furniture Depreciation Expense - Vehicle 8 9 10 11 12 13 14 Changes in Operating Assets and Liabilities 15 16 17 18 19 20 21 22 23 24 25 26 27 28 Cash Flow from Financing Activities 29 30 31 32 33 34 35 36 37 38 39 40 41 Cash Flow from Investing Activities 42 43 44 45 46 47 48 49
Step by Step Solution
There are 3 Steps involved in it
Get step-by-step solutions from verified subject matter experts
