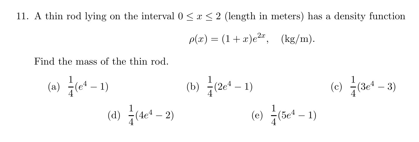
Question: Please help me f11. A thin rod lying on the interval 0 g a: g 2 (length in meters) has a density function 9(33) 2
Please help me



\f11. A thin rod lying on the interval 0 g a: g 2 (length in meters) has a density function 9(33) 2 (1 + @5233, (kg/m)- Find the mass of the thin rod. (a) ital1) (b) ne1) (c) gee3) (d) gee 2) (e) W 1) 12. The curve on the xy-plane is defined by the polar equation r = cos 0 - sin(20). Find the slope of the tangent line to the curve at the point when 0 = T. V2 - 1 1 + v2 V2 H (a) (b) (c ) V2 + 1 V2 - 1 (d) (e) V2 + 1 V2 - 1 V2 - 1
Step by Step Solution
There are 3 Steps involved in it
Get step-by-step solutions from verified subject matter experts
