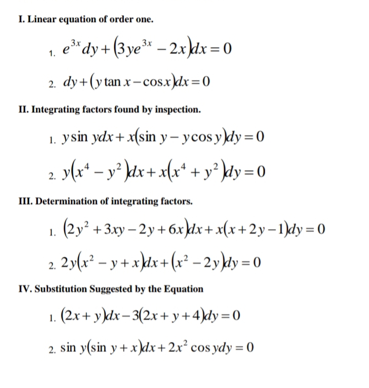
Question: please help me solve the following differential equations using the indicated method, thank you I. Linear equation of order one. 1. eddy + (3ye3* -
please help me solve the following differential equations using the indicated method, thank you

Step by Step Solution
There are 3 Steps involved in it
1 Expert Approved Answer
Step: 1 Unlock
Question Has Been Solved by an Expert!
Get step-by-step solutions from verified subject matter experts
Step: 2 Unlock
Step: 3 Unlock
