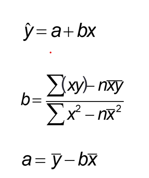
Question: Please help me solve this using the formula y^=a+bx b=x2nx2(xy)nxy a=ybx Sales of Volkswagen's popular Beetle have grown steadily at auto dealerships in Nevada during
Please help me solve this using the formula 

Step by Step Solution
There are 3 Steps involved in it
1 Expert Approved Answer
Step: 1 Unlock
Question Has Been Solved by an Expert!
Get step-by-step solutions from verified subject matter experts
Step: 2 Unlock
Step: 3 Unlock
