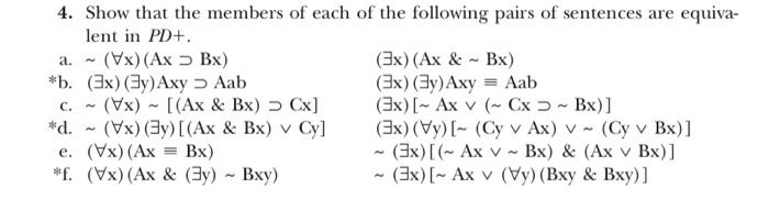
Question: Please help me the logic question (b d f) a. 4. Show that the members of each of the following pairs of sentences are equiva-
a. 4. Show that the members of each of the following pairs of sentences are equiva- lent in PD+. - (Vx) (AxBx) (3x) (Ax & - Bx) *b. (3x) (y)Axy Aab (3x) (3y) Axy = Aab (Vx) - [(Ax & Bx) Cx] (3x) - Ax v (Cx - Bx)] *d. (Vx) (3y) [(Ax & Bx) v Cy] (3x) (Wy) (- (Cy v Ax) - (Cy v Bx)] e. (Vx) (Ax = Bx) (Ex)[(- Ax V Bx) & (Ax v Bx)] *f. (Vx)(Ax & (Ey) - Bxy) - (3x)(- Ax v (Wy) (Bxy & Bxy)] c
Step by Step Solution
There are 3 Steps involved in it
Get step-by-step solutions from verified subject matter experts
