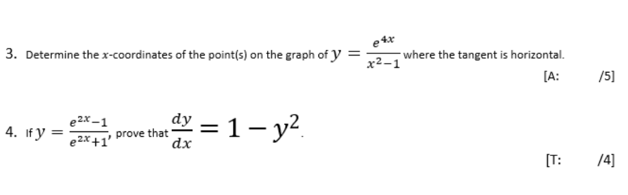
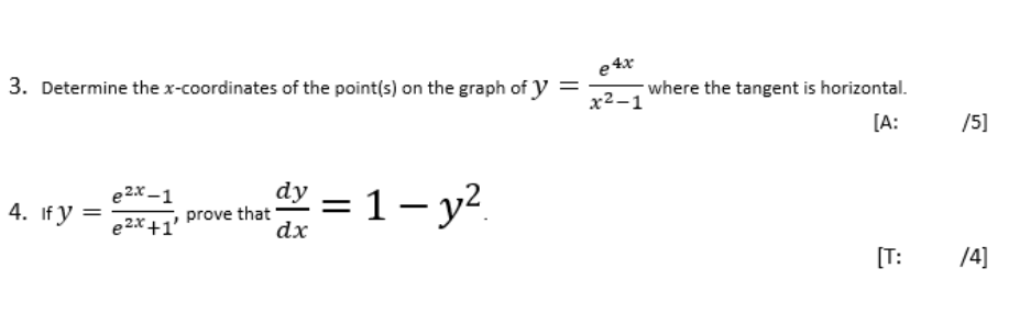
Question: Please help me to do it step by step and write it down on paper. e4x 3. Determine the x-coordinates of the point(s) on the

Please help me to do it step by step and write it down on paper.

e4x 3. Determine the x-coordinates of the point(s) on the graph of y = where the tangent is horizontal. x2-1 [A: /5] dy 4. Ify = prove that- =1 - y2 e 2x +1 dx [T: /4]
Step by Step Solution
There are 3 Steps involved in it
Get step-by-step solutions from verified subject matter experts
