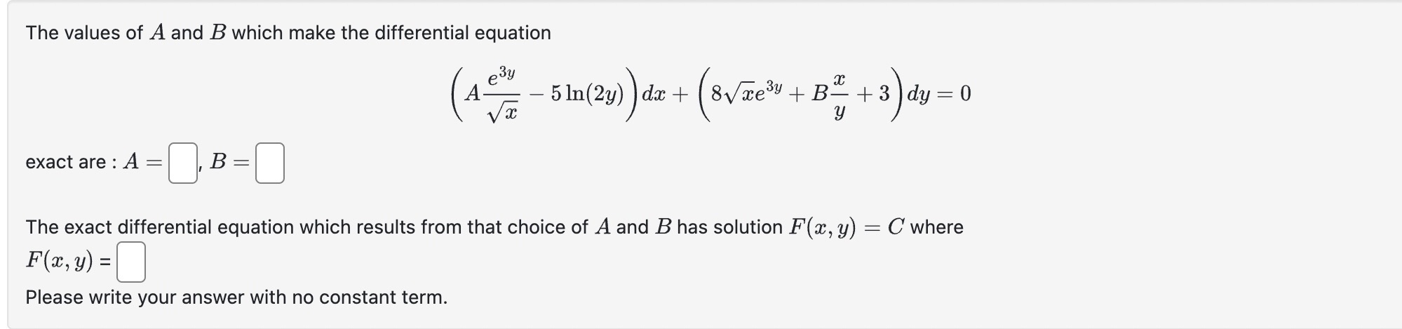
Question: Please help me to solve this question. The answer should be in details and explaination step by step. The values of A and B which
Please help me to solve this question. The answer should be in details and explaination step by step.

The values of A and B which make the differential equation e 3y 5 In(24) ) da + (8 Vxe 34 + B + 3) dy = 0 exact are : A = B The exact differential equation which results from that choice of A and B has solution F(x, y) = C where F(x, y) = Please write your answer with no constant term
Step by Step Solution
There are 3 Steps involved in it
Get step-by-step solutions from verified subject matter experts
