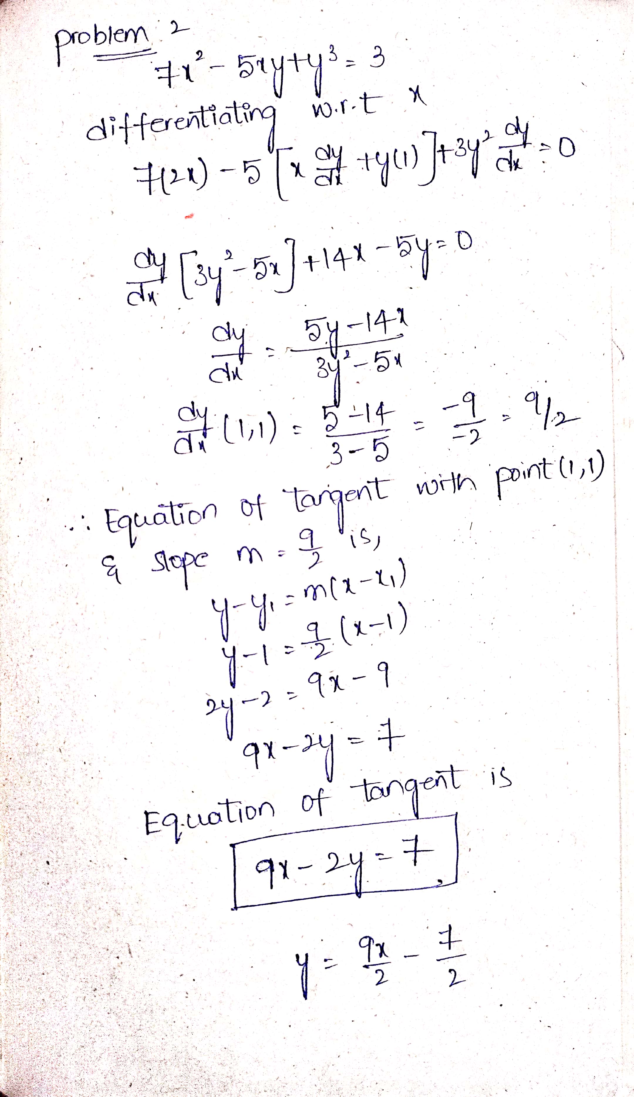
Question: Please help me to solve this two problems ASAP, thank you! MAT 125 Fall 2023 Name Rec# TA Name Homework #3 Problem 1: Find the
Please help me to solve this two problems ASAP, thank you!


Step by Step Solution
There are 3 Steps involved in it
1 Expert Approved Answer
Step: 1 Unlock
Question Has Been Solved by an Expert!
Get step-by-step solutions from verified subject matter experts
Step: 2 Unlock
Step: 3 Unlock
