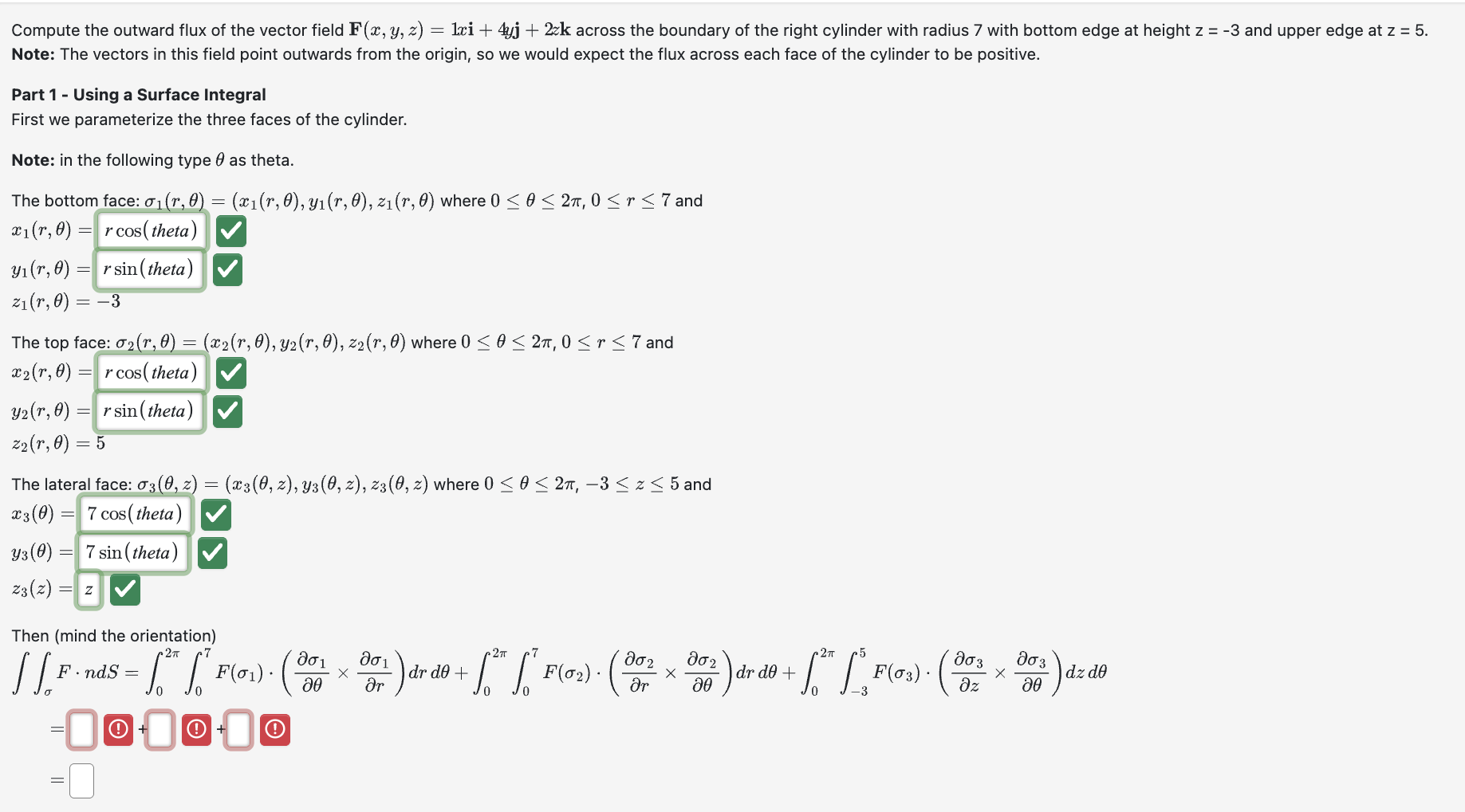
Question: PLEASE HELP ME WITH THE BLANK SPACES IN THIS PROBLEM!!! Show all images Show all images Show all images done loading
PLEASE HELP ME WITH THE BLANK SPACES IN THIS PROBLEM!!!
Step by Step Solution
There are 3 Steps involved in it
1 Expert Approved Answer
Step: 1 Unlock
Question Has Been Solved by an Expert!
Get step-by-step solutions from verified subject matter experts
Step: 2 Unlock
Step: 3 Unlock
