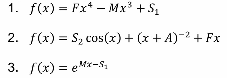
Question: Please help me with these. (If it's handwritten it should be readable,understandable and clear, thankyou) Given: F= 6 M= 7 S1= 6 S2= 4 A=

Please help me with these. (If it's handwritten it should be readable,understandable and clear, thankyou)
Given:
F= 6
M= 7
S1= 6
S2= 4
A= 17
[A.] Find equation of the tangent line and normal line to the curve as the given point. Note that y= f(x), that is, if x = F, then y = f(F)
![readable,understandable and clear, thankyou)Given:F= 6M= 7S1= 6S2= 4A= 17[A.] Find equation of](https://s3.amazonaws.com/si.experts.images/answers/2024/06/6679c2c16f426_7456679c2c14bdd5.jpg)


1. y = Fx - x + M where x = S1 1 2. y = 1$2 - Ax + F where x = M S2 3. y =S x2 - S,x + A where x = F 1 4. y = - PM - Six + S, where x = A M
Step by Step Solution
There are 3 Steps involved in it
Get step-by-step solutions from verified subject matter experts
