Question: Please help me with this accounting problem! Traditional method and ABC method a) The Jackpots Dreams Cards Company is a card manufacturer. All direct materials
Please help me with this accounting problem! Traditional method and ABC method

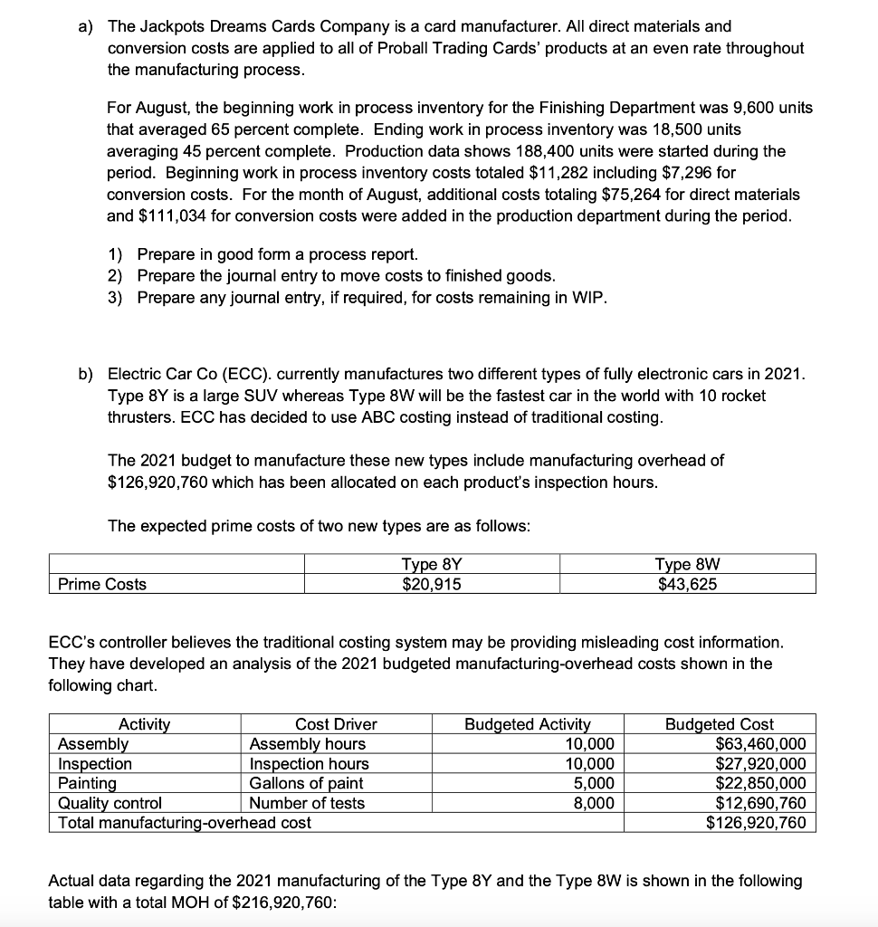
a) The Jackpots Dreams Cards Company is a card manufacturer. All direct materials and conversion costs are applied to all of Proball Trading Cards' products at an even rate throughout the manufacturing process. For August, the beginning work in process inventory for the Finishing Department was 9,600 units that averaged 65 percent complete. Ending work in process inventory was 18,500 units averaging 45 percent complete. Production data shows 188,400 units were started during the period. Beginning work in process inventory costs totaled $11,282 including $7,296 for conversion costs. For the month of August, additional costs totaling $75,264 for direct materials and $111,034 for conversion costs were added in the production department during the period. 1) Prepare in good form a process report. 2) Prepare the journal entry to move costs to finished goods. 3) Prepare any journal entry, if required, for costs remaining in WIP. b) Electric Car Co (ECC). currently manufactures two different types of fully electronic cars in 2021. Type 8Y is a large SUV whereas Type 8W will be the fastest car in the world with 10 rocket thrusters. ECC has decided to use ABC costing instead of traditional costing. The 2021 budget to manufacture these new types include manufacturing overhead of $126,920,760 which has been allocated on each product's inspection hours. The expected prime costs of two new types are as follows: Type 8Y $20,915 Type 8W $43,625 Prime Costs ECC's controller believes the traditional costing system may be providing misleading cost information. They have developed an analysis of the 2021 budgeted manufacturing-overhead costs shown in the following chart. Activity Cost Driver Assembly Assembly hours Inspection Inspection hours Painting Gallons of paint Quality control Number of tests Total manufacturing-overhead cost Budgeted Activity 10,000 10,000 5,000 8,000 Budgeted Cost $63,460,000 $27,920,000 $22,850,000 $12,690,760 $126,920,760 Actual data regarding the 2021 manufacturing of the Type 8Y and the Type 8W is shown in the following table with a total MOH of $216,920,760: Type 8Y Type 8W 2,222 767 Budgeted Sales (units) Assembly hours Inspection hours Paint Gallons Tests 767 555 2,955 2,955 1477 2364 383 612 Required: 1) Using the traditional method i. Determine the company's predetermined overhead rate(s) applied ii. Determine how much overhead was applied to Type 8Y iii. Provide the MOH true up journal entry required for this method at the end of the year 2) Using the ABC method i. Determine the company's predetermined overhead rate(s) applied ii. Determine how much overhead was applied to Type 8Y iii. Provide the MOH true up journal entry required for this method at the end of the year
Step by Step Solution
There are 3 Steps involved in it
Get step-by-step solutions from verified subject matter experts
