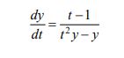
Question: Please help me with this differential equation problem. Thank you! Find the general solution to the differential equation. V
Please help me with this differential equation problem. Thank you!
Find the general solution to the differential equation.

Step by Step Solution
There are 3 Steps involved in it
Get step-by-step solutions from verified subject matter experts
