Question: Please help me with this Eactor Company is planning to add a new product to its line. To manufacture this product, the company needs to
Please help me with this







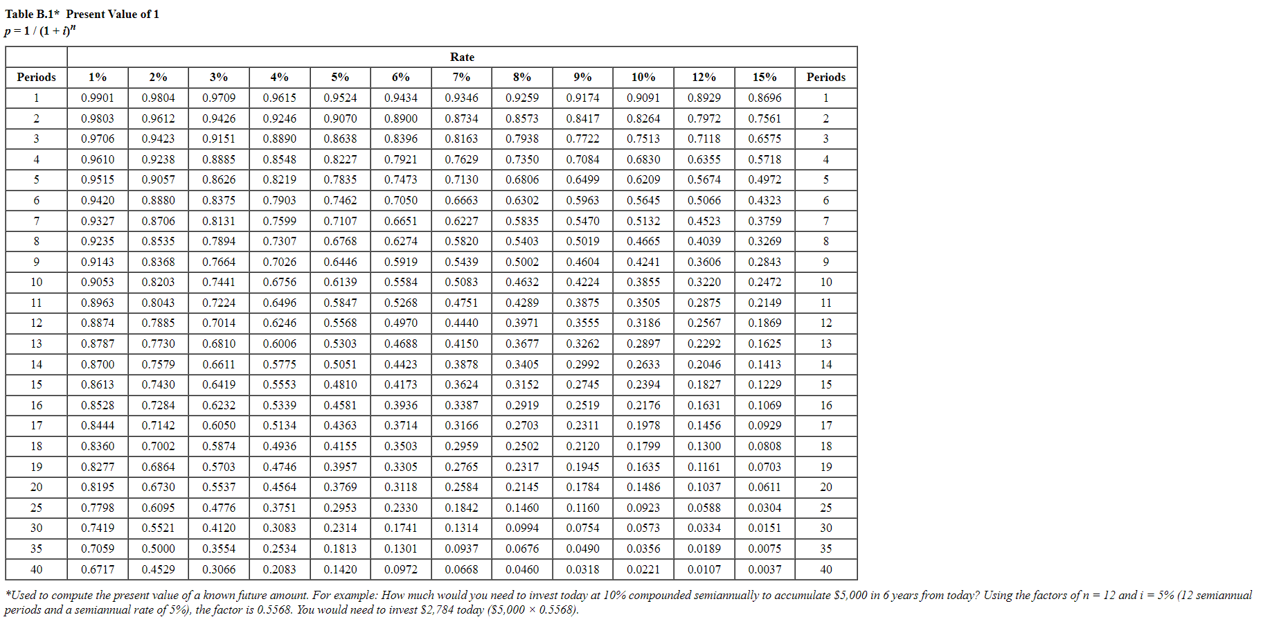
Eactor Company is planning to add a new product to its line. To manufacture this product, the company needs to buy a new machine at $495,000 cost with an expected four-year life and a $20,000 salvage value. Additional annual information for this new product line ollows. (PV of $1, FV of $1, PVA of $1, and FVA of $1 ) (Use appropriate factor(s) from the tables provided.) Required: 1. Determine income and net cash flow for each year of this machine's life. 2. Compute this machine's payback period, assuming that cash flows occur evenly throughout each year. 3. Compute net present value for this machine using a discount rate of 7%. Complete this question by entering your answers in the tabs below. Determine income and net cash flow for each year of this machine's life. Factor Company is planning to add a new product to its line. To manufacture this product, the company needs to buy a new machine at $495,000 cost with an expected four-year life and a $20,000 salvage value. Additional annual information for this new product line ollows. (PV of $1,FV of $1, PVA of $1, and FVA of $1 ) (Use appropriate factor(s) from the tables provided.) Required: 1. Determine income and net cash flow for each year of this machine's life. 2. Compute this machine's payback period, assuming that cash flows occur evenly throughout each year. 3. Compute net present value for this machine using a discount rate of 7%. Complete this question by entering your answers in the tabs below. Compute this machine's payback period, assuming that cash flows occur evenly throughout each year. Eactor Company is planning to add a new product to its line. To manufacture this product, the company needs to buy a new machine at $495,000 cost with an expected four-year life and a $20,000 salvage value. Additional annual information for this new product line ollows. (PV of $1,FV of $1, PVA of $1, and FVA of $1 ) (Use appropriate factor(s) from the tables provided.) Required: 1. Determine income and net cash flow for each year of this machine's life. 2. Compute this machine's payback period, assuming that cash flows occur evenly throughout each year. 3. Compute net present value for this machine using a discount rate of 7%. Complete this question by entering your answers in the tabs below. Compute net present value for this machine using a discount rate of 7%. (Do not round intermediate calculations. Negative amounts should be entered with a minus sign. Round your present value factor to 4 decimals and final answers to the nearest whole dollar.) Table B.1* Present Value of 1 p=1/(1+i)n Table B. 2 Future Value of 1 f=(1+i)n is 1.4859 . The accumulated value is $4,457.70($3,0001.4859). Table B. 3 Present Value of an Annuity of 1 p=[11/(1+i)n]/i Table B.4Future Value of an Annuity of 1 f=[(1+i)n1]/i
Step by Step Solution
There are 3 Steps involved in it
Get step-by-step solutions from verified subject matter experts
