Question: Please help me with this problem and Mcq Problem 2 - 9 points Nemo Chemical Corporation produces three industrial chemicals from a common input-XYZ XYZ
Please help me with this problem and Mcq


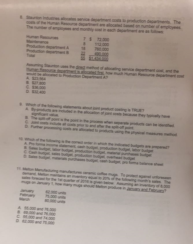
Problem 2 - 9 points Nemo Chemical Corporation produces three industrial chemicals from a common input-XYZ XYZ costs $300,000 per 1,000 gallons. Each 1.000 gallon input of XYZ produces the following outputs: Product Gallons A12 200 B34 300 C56 500 Final sales value $280,000 170,000 290,000 Further processing costs $50,000 90,000 100,000 All three products must be processed further before they can be sold. How much of the $300,000 joint cost of XYZ would be allocated to each product if Nemo uses the physical measures method of allocating joint costs, and what is the gross profit of each product? Product Joint Cost Allocated Gross Profit A12 B34 C56 How much of the $300,000 joint cost of XYZ would be allocated to each product if Nemo uses the net realizable value method of allocating joint costs, and what is the gross profit of each product? Product Joint Cost Allocated Gross Profit A12 B34 C56 8. Staunton Industries allocates service department costs to production departments. The costs of the Human Resource department are allocated based on number of employees. The number of employees and monthly cost in each department are as follows: Human Resources 7 $ 72.000 Maintenance 8 t A 112000 Production department B 18 750.000 22 490.000 55 $1.434.000 Assuming Staunton uses the rest method of allocating service department cost, and the Human Resource department is a located first how much Human Resource department cost would be allocated to Production Department A?! A $23.564 B 527 800 C. $36.000 D. 532.400 2. Which of the following statements about joint product costing is TRUE? A By-products are included in the allocation of joint costs because they typically have significant value B. The split-o point is the point in the process when separate products can be identified C. Joint costs include all costs prior to and after the split-off point. D. Further processing costs are allocated to products using the physical measures method. 10. Which of the following is the correct order in which the indicated budgets are prepared? A Proforma income statement, cash budget, production budget, labor budget B. Sales budget, labor budget, production budget, material purchases budget C. Cashbudget sales buget, production budget overhead budget D. Sales budget, materials purchases budget, cash budget. pro forma balance sheet 11. Melton Manufacturing manufactures ceramic coffee mugs. To protect against unforeseen demand, Melton maintains an inventory equal to 20% of the following month's sales. The sales forecast for the 1st quarter of 2016 is given below. Assuming an inventory of 8,000 mugs on January 1, how many mugs should Melton produce in January and February?! 62.000 units February 75,000 units 80.000 units A 55.000 and 75,000 B. 59.000 and 76,000 C 55000 and 74,000 D. 62.000 and 75.000
Step by Step Solution
There are 3 Steps involved in it
Get step-by-step solutions from verified subject matter experts
