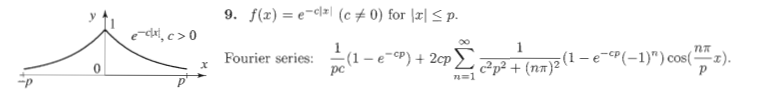
Question: Please help me with this questionPlease make sure you use mathematica. 9. f(x) = e-ca(c) for (x 5p. - c>0 Fourier series: Seper 2 -
Please help me with this questionPlease make sure you use mathematica.

9. f(x) = e-ca(c) for (x 5p. - c>0 Fourier series: Seper 2 - e-op) +20p] 2p2 + (17)3(2-e0(-1)") cost ". 2) (1 - e-) + nm21 -e-P() (. 0 pc P R1 9. f(x) = e-ca(c) for (x 5p. - c>0 Fourier series: Seper 2 - e-op) +20p] 2p2 + (17)3(2-e0(-1)") cost ". 2) (1 - e-) + nm21 -e-P() (. 0 pc P R1
Step by Step Solution
There are 3 Steps involved in it
Get step-by-step solutions from verified subject matter experts
