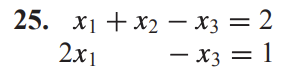
Question: Please help! Show work Sketch a graph for each equation to determine whether this system has unique solutions, no solutions, or infinitely many solutions. 11.
Please help!
Show work
Sketch a graph for each equation to determine whether this system has unique solutions, no solutions, or infinitely many solutions.
11.





Step by Step Solution
There are 3 Steps involved in it
Get step-by-step solutions from verified subject matter experts
