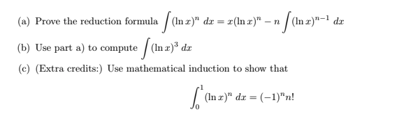
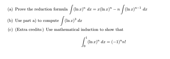
Question: Please help solve the following problems: (a) Prove the reduction formula (Inz) dr = r(Inx) -n (Inz)-lar (b) Use part a) to compute / (Inx)3

Please help solve the following problems:

(a) Prove the reduction formula (Inz)" dr = r(Inx)" -n (Inz)"-lar (b) Use part a) to compute / (Inx)3 dx (c) (Extra credits:) Use mathematical induction to show that (In x)" de = (-1)"n
Step by Step Solution
There are 3 Steps involved in it
Get step-by-step solutions from verified subject matter experts
