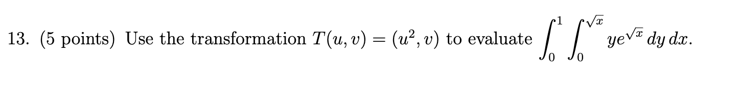
Question: Please, help! Thanks 9. (5 points) By using either a double or triple integral, find the volume of the tetrahedron with vertices (0, 0, 0),

Please, help! Thanks

Please, help! Thanks 9. (5 points) By using either a double ortriple integral, find the volume of the tetrahedron with vertices (0, 0,

9. (5 points) By using either a double or triple integral, find the volume of the tetrahedron with vertices (0, 0, 0), (1, 0, 0), (0, 1, 0), and (0, 0, 1).\f

Step by Step Solution

There are 3 Steps involved in it

1 Expert Approved Answer
Step: 1 Unlock blur-text-image
Question Has Been Solved by an Expert!

Get step-by-step solutions from verified subject matter experts

Step: 2 Unlock
Step: 3 Unlock

Students Have Also Explored These Related Mathematics Questions!