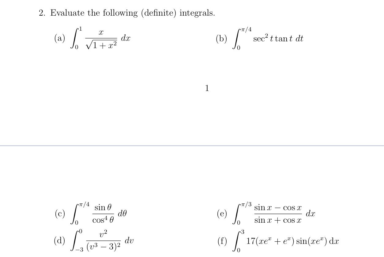
Question: Please help walk me through the solution to this question w/work shown! Thanks f
Please help walk me through the solution to this question w/work shown! Thanks

\f
Step by Step Solution
There are 3 Steps involved in it
Get step-by-step solutions from verified subject matter experts
