Question: please help with 1 through 4 and show how you got the answer neatly please fCollege Scorecard Data Random Sample of Private 4-Year Institutions Variable
please help with 1 through 4 and show how you got the answer neatly please



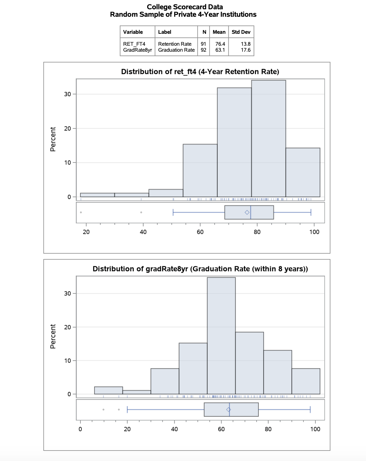
\fCollege Scorecard Data Random Sample of Private 4-Year Institutions Variable Label N Std Dev RET FT4 Retention Rate 91 76.4 13.8 GradRate8yr Graduation Rate 92 63.1 17.6 Distribution of ret_ft4 (4-Year Retention Rate) 30 20 Percent 10 0 0 20 40 60 80 100 Distribution of gradRatesyr (Graduation Rate (within 8 years)) 30 20 Percent 10 0 - 0 20 40 60 80 100College Scorecard Variables o Undergraduate Enrollment (UGDS) Enrollment of undergraduate certicate / degree seeking students 0 Average Net Price (netprice) - The average annual total cost of attendance, includ- ing tuition and fees, books and supplies, and living expenses, minus the average grant / scholarship aid. - Retention Rate (ret_ft4) The proportion (shown as percentages) of fulltime, rst time, degreeseeking undergraduates who were enrolled at the institution in the fall 1 year after starting at the institution 0 Graduation Rate (gradRateSyr) Percentage of Iilltime student receiving an award within 8 years of entry College Scorecard' Questions 1. The rst plot is of undergraduate enrollment. Use the plot to answer the questions below. (a) Briey describe the shape of the distribution. (b) Give approximate values of the venumber summary. 2. The second plot is of the average net price for public institutions. Use plot to answer the questions that follow. (a) Briey describe the shape of the distribution. (b) The averge net price of GVSU is $18,019. Approximately what percentile does GVSU's net price correspond to among public schools? 3. Estimate the average retention rate of private colleges and universities by computing a 90% condence interval. Show all required steps. Round your limits to 3 decimal places. Show your work. 4. Using the sample data, test whether the average graduation rate at private institu tions is higher than that of public ones (visible in the very rst table). Show all required steps. Show your work. (1
Step by Step Solution
There are 3 Steps involved in it
Get step-by-step solutions from verified subject matter experts
