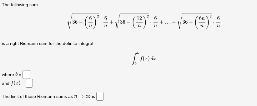
Question: Please help with explanation! Use the Midpoint Rule to approximate 5.5 -1.5 with n = 7.The following sum 2 12 2 6 6n 2 36
Please help with explanation!


Use the Midpoint Rule to approximate 5.5 -1.5 with n = 7.The following sum 2 12 2 6 6n 2 36 + 36 +...+1 36 n n is a right Riemann sum for the definite integral f(x) da where b = and f(x) = The limit of these Riemann sums as n -> oo is
Step by Step Solution
There are 3 Steps involved in it
Get step-by-step solutions from verified subject matter experts
