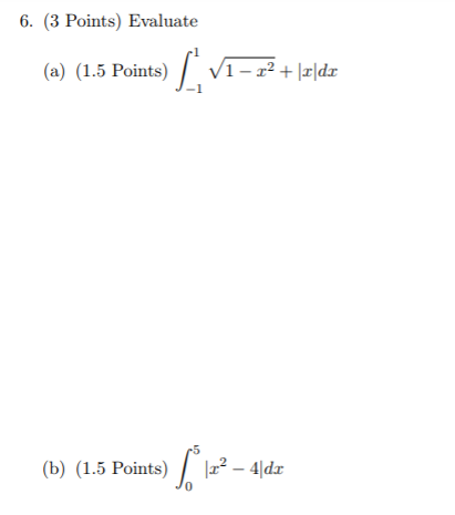
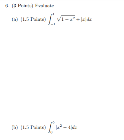
Question: Please help with the following calculus question: 6. (3 Points) Evaluate (a) (1.5 Points) V1-r2+ x dr -5 (b) (1.5 Points) x2 - 4)dr

Please help with the following calculus question:

6. (3 Points) Evaluate (a) (1.5 Points) V1-r2+ x dr -5 (b) (1.5 Points) x2 - 4)dr
Step by Step Solution
There are 3 Steps involved in it
Get step-by-step solutions from verified subject matter experts
