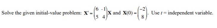
Question: please help with the following problems: 4. 6 -1 -2 Solve the given initial-value problem: X' = X and X(0) = Use t = independent
please help with the following problems:
4.


6 -1 -2 Solve the given initial-value problem: X' = X and X(0) = Use t = independent variable. 5 4 85. Convert the given system to a matrix equation and find the general solution of the system. dx = 5x - 4y dt dy - X+2Z dt dz 2y+52 dt
Step by Step Solution
There are 3 Steps involved in it
Get step-by-step solutions from verified subject matter experts
