Question: Please help with these questions Q #8 Please evaluate the following integrals by the simplest method that works. This said, still full points if done



Please help with these questions



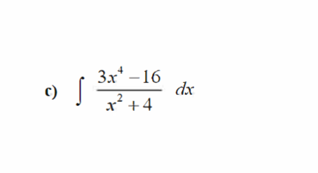
Q #8 Please evaluate the following integrals by the simplest method that works. This said, still full points if done correctly by a less efficient method.3x* -16 ( ) dx x 2 + 4
Step by Step Solution
There are 3 Steps involved in it
Get step-by-step solutions from verified subject matter experts
