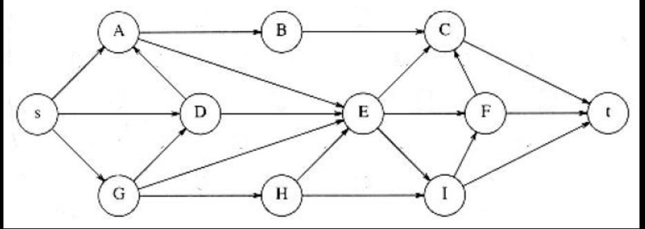
Question: Please, I need a program that will out put the DFS and the BFS of this graph. A B D E F 0

Please, I need a program that will out put the DFS and the BFS of this graph.
A B D E F 0
Step by Step Solution
There are 3 Steps involved in it
Get step-by-step solutions from verified subject matter experts
