Question: Please I need answer to question 3 and 4. Consider the following directed graph for each of the problems: 1. Perform a breadth-first search on
Please I need answer to question 3 and 4.
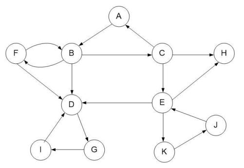
Consider the following directed graph for each of the problems:

1. Perform a breadth-first search on the graph assuming that the vertices and adjacency lists are listed in alphabetical order. Show the breadth-first search tree that is generated.
2. Perform a depth-first search on the graph assuming that the vertices and adjacency lists are listed in alphabetical order. Classify each edge as tree, forward, back or cross edge. Label each vertex with its start and finish time.
3. Remove all the back edges from the graph so it becomes a DAG. Perform a depth-first search recording the start and finish times. Using those finish times, provide the topological order that is produced. Provide one breadth-first topological order for that graph.
4. Determine the strongly connected components of the graph using the algorithm provided in sample problems. Show the final depth-first search of the transpose graph labeled with its start and finish times. Identify the strongly connected components based on that search.
Step by Step Solution
There are 3 Steps involved in it
Get step-by-step solutions from verified subject matter experts
