Question: Please I need help 3. (8 points) Parents Jamie and Riley want the save money for their child Charlie. They plan on putting money aside
Please I need help

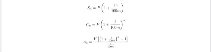
3. (8 points) Parents Jamie and Riley want the save money for their child Charlie. They plan on putting money aside every month while Charlie is in grade school. (a) They have found an investment that has 4.2% interested (compounded monthly). What monthly payment should they make to ensure there is $50 000 in the account after 12 years? (b) They decide to invest $400 a month, but due to unforeseen circumstances, they have to stop regular payments after 8 years. What will that investment be worth after 12 years? (Note, this is 8 years of payments and 4 years of no payments.) OL [1 - Cogol + 1)] = " (umor + 1) a =")
Step by Step Solution
There are 3 Steps involved in it
1 Expert Approved Answer
Step: 1 Unlock
Question Has Been Solved by an Expert!
Get step-by-step solutions from verified subject matter experts
Step: 2 Unlock
Step: 3 Unlock
