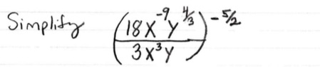
Question: Please. I need help with this exercise. It will help a lot if you attach the paperwork as I am visual and it will help
Please. I need help with this exercise. It will help a lot if you attach the paperwork as I am visual and it will help me to understand the rules. Thanks

Step by Step Solution
There are 3 Steps involved in it
Get step-by-step solutions from verified subject matter experts
