Question: Please, i need Unique answer, Use your own words (don't copy and paste). *Please, don't use handwriting. Q1: For the following resource-allocation graph draw the
Please, i need Unique answer, Use your own words (don't copy and paste).
*Please, don't use handwriting.
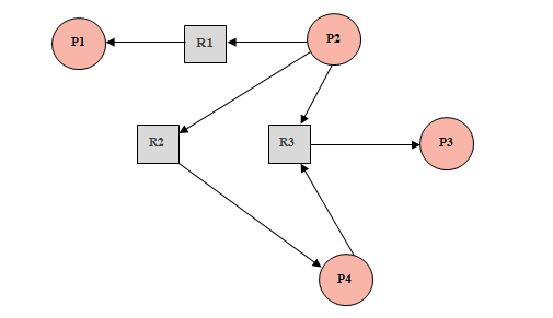
Q1: For the following resource-allocation graph draw the corresponding wait-for graph and confirm if there exist a deadlock or not.

__________
Q2 : More than one process can be executed by a single processor using multi-programing or multi-tasking. How can this be achieved on a uniprocessor system?
_______________
Q3:
Following table contains five processes with their length of the CPU burst given in milli seconds.
| Processes | Burst Time (ms) |
| P1 | 17 |
| P2 | 8 |
| P3 | 12 |
| P4 | 5 |
| P5 | 9 |
Answer the following questions using Round-Robin scheduling algorithm with a time quantum of 4 milli seconds and show all the calculations.
- Draw a Gantt chart to show round-robin scheduling.
- Calculate the waiting time for each process using round-robin scheduling.
- Calculate the average waiting time.
_______
Q4
Describe the operating system's two modes of operation. Distinguish between system and application programs.
P2 R2 R3 P3 P4
Step by Step Solution
There are 3 Steps involved in it
Get step-by-step solutions from verified subject matter experts
