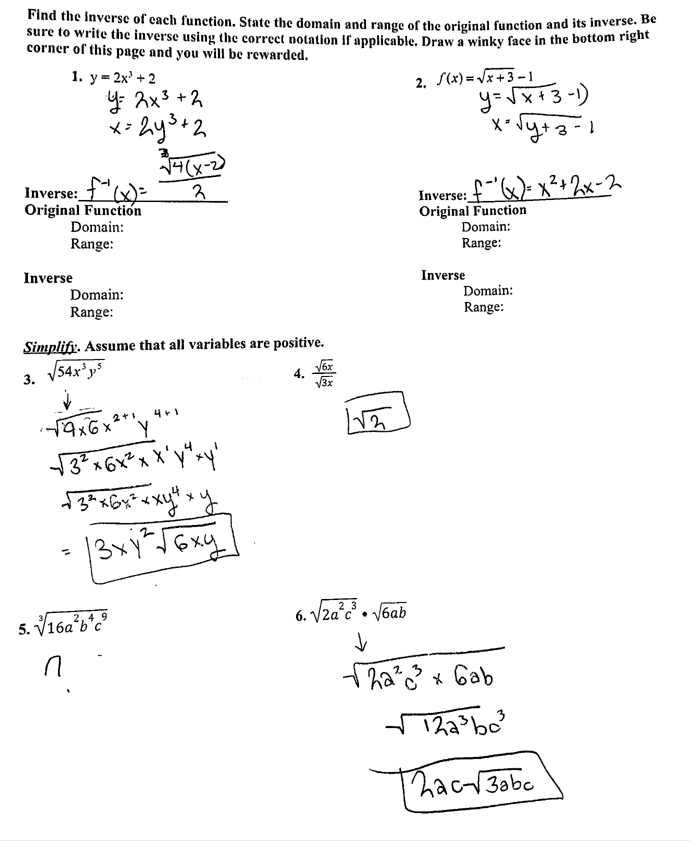
Question: Please if a math tutor could just help that would be so appreciated! This contains radical functions, inverses of a function, square roots, domain &
Please if a math tutor could just help that would be so appreciated!
This contains radical functions, inverses of a function, square roots, domain & range, etc.
Please help a lost student out!


Step by Step Solution
There are 3 Steps involved in it
Get step-by-step solutions from verified subject matter experts
