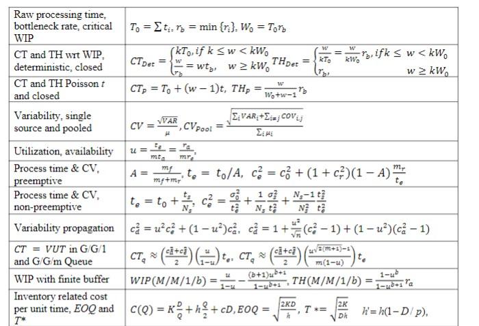
Question: Please look at the formula sheet and list all the parameters that are important for the performance measures in TH, CT, WIP and cost.

Please look at the formula sheet and list all the parameters that are important for the performance measures in TH, CT, WIP and cost.
Step by Step Solution
There are 3 Steps involved in it
1 Expert Approved Answer
Step: 1 Unlock
Question Has Been Solved by an Expert!
Get step-by-step solutions from verified subject matter experts
Step: 2 Unlock
Step: 3 Unlock
