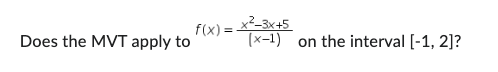
Question: PLEASE MAKE WRITING AND FORMAT CLEAR ff(x) = x -3*+5 Does the MVT apply to (*-1) on the interval [-1, 2]?For f(x) = x2 +

![the MVT apply to (*-1) on the interval [-1, 2]?For f(x) =](https://s3.amazonaws.com/si.experts.images/answers/2024/06/6679702463397_5966679702445ad8.jpg)

![the interval [0, 2] that satisfy the Mean Value Theorem.Jon received his](https://s3.amazonaws.com/si.experts.images/answers/2024/06/667970253922f_5976679702520f58.jpg)




PLEASE MAKE WRITING AND FORMAT CLEAR
![find all the values c in the interval [-3, 1] such that](https://s3.amazonaws.com/si.experts.images/answers/2024/06/667970271a9cf_59966797027050a4.jpg)





![change of f(x) between [a, b].Assume a cube with all sides equal](https://s3.amazonaws.com/si.experts.images/answers/2024/06/66797029ce601_60166797029b622a.jpg)



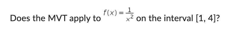
\ff(x) = x -3*+5 Does the MVT apply to (*-1) on the interval [-1, 2]?For f(x) = x2 + 3x + 1, find all the values of c on the interval [0, 2] that satisfy the Mean Value Theorem.Jon received his math grade for algebra. His class average over 10 tests is 89. Can you use the MVT to show that Jon must have received an 89 on one of the 10 tests?Describe the difference between the MVT and Rolle's Theorem.Let f(x) = x2+ 2x. Use Rolle's Theorem to find all the values c in the interval [-3, 1] such that f '(c) = 0.Given a cube with sides x inches, let x(t) = t + 2. What is the instantaneous rate of change of the volume, with respect to time, of the cube at t = 1 second? X X XDescribe the difference between the instantaneous rate of change of f(x) at x = a, and the average rate of change of f(x) between [a, b].Assume a cube with all sides equal to x. Let the change in x with respect to t; x(t) = 2t + 1. What is the formula for the rate of change of the volume of the cube? X X XAssume a spring is oscillating and the length of the spring can be described as L (t ) = = sin (tz ) . What is the formula for the instantaneous rate of change of L(t)
Step by Step Solution
There are 3 Steps involved in it
Get step-by-step solutions from verified subject matter experts
