Question: please need help with the yellow boxes Big Al gives his worker's a one hour lunch and two fifteen minute breaks each day. He belleves





please need help with the yellow boxes
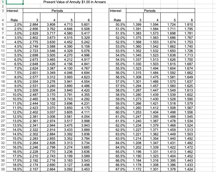
Big Al gives his worker's a one hour lunch and two fifteen minute breaks each day. He belleves that a cold soda machine would be appreciated by his workers, and an appreciated worker is a good worker. He has priced a machine at a national member only warehouse for $1,800. The machine should be usable for 5 years, after which it would be inefficient, obsolete and would have to be disposed of at the dump. Big Al believes that 8 cans a day will be purchased. The plant is open five days a week, 50 weeks per year. A case of soda (24 cans) costs $5.52 and Big Al believes that a price of $.55 per can would win him good will. What is t t2 {17.02} {17.03} {17.04} {17.06} \begin{tabular}{|r|r|r|r|r|} \hline Interest & \multicolumn{3}{|l|}{ Periods } & \\ \hline & & & & \\ \hline Rate & 3 & 4 & 5 & 6 \\ \hline 50.5% & 1.399 & 1.594 & 1.724 & 1.810 \\ \hline 51.0% & 1.391 & 1.584 & 1.711 & 1.795 \\ \hline 51.5% & 1.383 & 1.573 & 1.698 & 1.781 \\ \hline 52.0% & 1.375 & 1.563 & 1.686 & 1.767 \\ \hline 52.5% & 1.368 & 1.553 & 1.674 & 1.753 \\ \hline 53.0% & 1.360 & 1.542 & 1.662 & 1.740 \\ \hline 53.5% & 1.352 & 1.532 & 1.650 & 1.726 \\ \hline 54.0% & 1.345 & 1.523 & 1.638 & 1.713 \\ \hline 54.5% & 1.337 & 1.513 & 1.626 & 1.700 \\ \hline 55.0% & 1.330 & 1.503 & 1.615 & 1.687 \\ \hline 55.5% & 1.323 & 1.494 & 1.604 & 1.674 \\ \hline 56.0% & 1.315 & 1.484 & 1.592 & 1.662 \\ \hline 56.5% & 1.308 & 1.475 & 1.581 & 1.649 \\ \hline 57.0% & 1.301 & 1.466 & 1.570 & 1.637 \\ \hline 57.5% & 1.294 & 1.457 & 1.560 & 1.625 \\ \hline 58.0% & 1.287 & 1.447 & 1.549 & 1.613 \\ \hline 58.5% & 1.280 & 1.439 & 1.539 & 1.602 \\ \hline 59.0% & 1.273 & 1.430 & 1.528 & 1.590 \\ \hline 59.5% & 1.266 & 1.421 & 1.518 & 1.579 \\ \hline 60.0% & 1.260 & 1.412 & 1.508 & 1.567 \\ \hline 60.5% & 1.253 & 1.404 & 1.498 & 1.556 \\ \hline 61.0% & 1.247 & 1.395 & 1.488 & 1.545 \\ \hline 61.5% & 1.240 & 1.387 & 1.478 & 1.534 \\ \hline 62.0% & 1.234 & 1.379 & 1.468 & 1.524 \\ \hline 62.5% & 1.227 & 1.371 & 1.459 & 1.513 \\ \hline 63.0% & 1.221 & 1.362 & 1.449 & 1.503 \\ \hline 63.5% & 1.214 & 1.354 & 1.440 & 1.492 \\ \hline 64.0% & 1.208 & 1.347 & 1.431 & 1.482 \\ \hline 64.5% & 1.202 & 1.339 & 1.422 & 1.472 \\ \hline 65.0% & 1.196 & 1.331 & 1.413 & 1.462 \\ \hline 65.5% & 1.190 & 1.323 & 1.404 & 1.452 \\ \hline 66.0% & 1.184 & 1.316 & 1.395 & 1.443 \\ \hline 66.5% & 1.178 & 1.308 & 1.386 & 1.433 \\ \hline 67.0% & 1.172 & 1.301 & 1.378 & 1.424 \\ \hline \end{tabular} \begin{tabular}{|l|l|l|l|l|r|} \hline 77 & 38.0% & 1.630 & 1.906 & 2.106 & 2.251 \\ \cline { 2 - 7 } 78 & 38.5% & 1.620 & 1.892 & 2.088 & 2.229 \\ \cline { 2 - 6 } & 39.0% & 1.609 & 1.877 & 2.070 & 2.209 \\ \hline 80 & 39.5% & 1.599 & 1.863 & 2.052 & 2.188 \\ \hline 81 & 40.0% & 1.589 & 1.849 & 2.035 & 2.168 \\ \hline 82 & 40.5% & 1.579 & 1.836 & 2.018 & 2.148 \\ \hline 83 & 41.0% & 1.569 & 1.822 & 2.001 & 2.129 \\ \hline 84 & 41.5% & 1.559 & 1.809 & 1.985 & 2.109 \\ \hline 85 & 42.0% & 1.549 & 1.795 & 1.969 & 2.091 \\ \hline 86 & 42.5% & 1.540 & 1.782 & 1.953 & 2.072 \\ \hline 87 & 43.0% & 1.530 & 1.769 & 1.937 & 2.054 \\ \hline 88 & 43.5% & 1.521 & 1.757 & 1.921 & 2.036 \\ \hline 99 & 44.0% & 1.512 & 1.744 & 1.906 & 2.018 \\ \hline 90 & 44.5% & 1.502 & 1.732 & 1.890 & 2.000 \\ \hline 91 & 45.0% & 1.493 & 1.720 & 1.876 & 1.983 \\ \hline 92 & 45.5% & 1.484 & 1.707 & 1.861 & 1.966 \\ \hline 93 & 46.0% & 1.475 & 1.695 & 1.846 & 1.949 \\ \hline 94 & 46.5% & 1.467 & 1.684 & 1.832 & 1.933 \\ \hline 95 & 47.0% & 1.458 & 1.672 & 1.818 & 1.917 \\ \hline 96 & 47.5% & 1.449 & 1.660 & 1.804 & 1.901 \\ \hline 97 & 48.0% & 1.441 & 1.649 & 1.790 & 1.885 \\ \hline 98 & 48.5% & 1.432 & 1.638 & 1.776 & 1.870 \\ \hline 99 & 49.0% & 1.424 & 1.627 & 1.763 & 1.854 \\ \hline 100 & 49.5% & 1.416 & 1.616 & 1.750 & 1.839 \\ \hline 101 & 50.0% & 1.407 & 1.605 & 1.737 & 1.824 \\ \hline \end{tabular} \begin{tabular}{|r|r|r|r|r|} \hline 86.5% & 0.978 & 1.061 & 1.105 & 1.129 \\ \hline 87.0% & 0.974 & 1.055 & 1.099 & 1.123 \\ \hline 87.5% & 0.969 & 1.050 & 1.094 & 1.117 \\ \hline 88.0% & 0.965 & 1.045 & 1.088 & 1.111 \\ \hline 88.5% & 0.961 & 1.040 & 1.082 & 1.105 \\ \hline 89.0% & 0.957 & 1.036 & 1.077 & 1.099 \\ \hline 89.5% & 0.953 & 1.031 & 1.072 & 1.093 \\ \hline 90.0% & 0.949 & 1.026 & 1.066 & 1.087 \\ \hline 90.5% & 0.945 & 1.021 & 1.061 & 1.082 \\ \hline 91.0% & 0.941 & 1.016 & 1.056 & 1.076 \\ \hline 91.5% & 0.937 & 1.012 & 1.050 & 1.071 \\ \hline 92.0% & 0.933 & 1.007 & 1.045 & 1.065 \\ \hline 92.5% & 0.930 & 1.002 & 1.040 & 1.060 \\ \hline 93.0% & 0.926 & 0.998 & 1.035 & 1.054 \\ \hline 93.5% & 0.922 & 0.993 & 1.030 & 1.049 \\ \hline 94.0% & 0.918 & 0.989 & 1.025 & 1.044 \\ \hline 94.5% & 0.914 & 0.984 & 1.020 & 1.039 \\ \hline 95.0% & 0.911 & 0.980 & 1.015 & 1.033 \\ \hline 95.5% & 0.907 & 0.975 & 1.010 & 1.028 \\ \hline 96.0% & 0.903 & 0.971 & 1.006 & 1.023 \\ \hline 96.5% & 0.900 & 0.967 & 1.001 & 1.018 \\ \hline 97.0% & 0.896 & 0.962 & 0.996 & 1.013 \\ \hline 97.5% & 0.893 & 0.958 & 0.992 & 1.008 \\ \hline 98.0% & 0.889 & 0.954 & 0.987 & 1.003 \\ \hline 98.5% & 0.885 & 0.950 & 0.982 & 0.999 \\ \hline 99.0% & 0.882 & 0.946 & 0.978 & 0.994 \\ \hline 99.5% & 0.878 & 0.942 & 0.973 & 0.989 \\ \hline 100.0% & 0.875 & 0.938 & 0.969 & 0.984 \\ \hline \end{tabular} If off the chart use 100% Big Al gives his worker's a one hour lunch and two fifteen minute breaks each day. He belleves that a cold soda machine would be appreciated by his workers, and an appreciated worker is a good worker. He has priced a machine at a national member only warehouse for $1,800. The machine should be usable for 5 years, after which it would be inefficient, obsolete and would have to be disposed of at the dump. Big Al believes that 8 cans a day will be purchased. The plant is open five days a week, 50 weeks per year. A case of soda (24 cans) costs $5.52 and Big Al believes that a price of $.55 per can would win him good will. What is t t2 {17.02} {17.03} {17.04} {17.06} \begin{tabular}{|r|r|r|r|r|} \hline Interest & \multicolumn{3}{|l|}{ Periods } & \\ \hline & & & & \\ \hline Rate & 3 & 4 & 5 & 6 \\ \hline 50.5% & 1.399 & 1.594 & 1.724 & 1.810 \\ \hline 51.0% & 1.391 & 1.584 & 1.711 & 1.795 \\ \hline 51.5% & 1.383 & 1.573 & 1.698 & 1.781 \\ \hline 52.0% & 1.375 & 1.563 & 1.686 & 1.767 \\ \hline 52.5% & 1.368 & 1.553 & 1.674 & 1.753 \\ \hline 53.0% & 1.360 & 1.542 & 1.662 & 1.740 \\ \hline 53.5% & 1.352 & 1.532 & 1.650 & 1.726 \\ \hline 54.0% & 1.345 & 1.523 & 1.638 & 1.713 \\ \hline 54.5% & 1.337 & 1.513 & 1.626 & 1.700 \\ \hline 55.0% & 1.330 & 1.503 & 1.615 & 1.687 \\ \hline 55.5% & 1.323 & 1.494 & 1.604 & 1.674 \\ \hline 56.0% & 1.315 & 1.484 & 1.592 & 1.662 \\ \hline 56.5% & 1.308 & 1.475 & 1.581 & 1.649 \\ \hline 57.0% & 1.301 & 1.466 & 1.570 & 1.637 \\ \hline 57.5% & 1.294 & 1.457 & 1.560 & 1.625 \\ \hline 58.0% & 1.287 & 1.447 & 1.549 & 1.613 \\ \hline 58.5% & 1.280 & 1.439 & 1.539 & 1.602 \\ \hline 59.0% & 1.273 & 1.430 & 1.528 & 1.590 \\ \hline 59.5% & 1.266 & 1.421 & 1.518 & 1.579 \\ \hline 60.0% & 1.260 & 1.412 & 1.508 & 1.567 \\ \hline 60.5% & 1.253 & 1.404 & 1.498 & 1.556 \\ \hline 61.0% & 1.247 & 1.395 & 1.488 & 1.545 \\ \hline 61.5% & 1.240 & 1.387 & 1.478 & 1.534 \\ \hline 62.0% & 1.234 & 1.379 & 1.468 & 1.524 \\ \hline 62.5% & 1.227 & 1.371 & 1.459 & 1.513 \\ \hline 63.0% & 1.221 & 1.362 & 1.449 & 1.503 \\ \hline 63.5% & 1.214 & 1.354 & 1.440 & 1.492 \\ \hline 64.0% & 1.208 & 1.347 & 1.431 & 1.482 \\ \hline 64.5% & 1.202 & 1.339 & 1.422 & 1.472 \\ \hline 65.0% & 1.196 & 1.331 & 1.413 & 1.462 \\ \hline 65.5% & 1.190 & 1.323 & 1.404 & 1.452 \\ \hline 66.0% & 1.184 & 1.316 & 1.395 & 1.443 \\ \hline 66.5% & 1.178 & 1.308 & 1.386 & 1.433 \\ \hline 67.0% & 1.172 & 1.301 & 1.378 & 1.424 \\ \hline \end{tabular} \begin{tabular}{|l|l|l|l|l|r|} \hline 77 & 38.0% & 1.630 & 1.906 & 2.106 & 2.251 \\ \cline { 2 - 7 } 78 & 38.5% & 1.620 & 1.892 & 2.088 & 2.229 \\ \cline { 2 - 6 } & 39.0% & 1.609 & 1.877 & 2.070 & 2.209 \\ \hline 80 & 39.5% & 1.599 & 1.863 & 2.052 & 2.188 \\ \hline 81 & 40.0% & 1.589 & 1.849 & 2.035 & 2.168 \\ \hline 82 & 40.5% & 1.579 & 1.836 & 2.018 & 2.148 \\ \hline 83 & 41.0% & 1.569 & 1.822 & 2.001 & 2.129 \\ \hline 84 & 41.5% & 1.559 & 1.809 & 1.985 & 2.109 \\ \hline 85 & 42.0% & 1.549 & 1.795 & 1.969 & 2.091 \\ \hline 86 & 42.5% & 1.540 & 1.782 & 1.953 & 2.072 \\ \hline 87 & 43.0% & 1.530 & 1.769 & 1.937 & 2.054 \\ \hline 88 & 43.5% & 1.521 & 1.757 & 1.921 & 2.036 \\ \hline 99 & 44.0% & 1.512 & 1.744 & 1.906 & 2.018 \\ \hline 90 & 44.5% & 1.502 & 1.732 & 1.890 & 2.000 \\ \hline 91 & 45.0% & 1.493 & 1.720 & 1.876 & 1.983 \\ \hline 92 & 45.5% & 1.484 & 1.707 & 1.861 & 1.966 \\ \hline 93 & 46.0% & 1.475 & 1.695 & 1.846 & 1.949 \\ \hline 94 & 46.5% & 1.467 & 1.684 & 1.832 & 1.933 \\ \hline 95 & 47.0% & 1.458 & 1.672 & 1.818 & 1.917 \\ \hline 96 & 47.5% & 1.449 & 1.660 & 1.804 & 1.901 \\ \hline 97 & 48.0% & 1.441 & 1.649 & 1.790 & 1.885 \\ \hline 98 & 48.5% & 1.432 & 1.638 & 1.776 & 1.870 \\ \hline 99 & 49.0% & 1.424 & 1.627 & 1.763 & 1.854 \\ \hline 100 & 49.5% & 1.416 & 1.616 & 1.750 & 1.839 \\ \hline 101 & 50.0% & 1.407 & 1.605 & 1.737 & 1.824 \\ \hline \end{tabular} \begin{tabular}{|r|r|r|r|r|} \hline 86.5% & 0.978 & 1.061 & 1.105 & 1.129 \\ \hline 87.0% & 0.974 & 1.055 & 1.099 & 1.123 \\ \hline 87.5% & 0.969 & 1.050 & 1.094 & 1.117 \\ \hline 88.0% & 0.965 & 1.045 & 1.088 & 1.111 \\ \hline 88.5% & 0.961 & 1.040 & 1.082 & 1.105 \\ \hline 89.0% & 0.957 & 1.036 & 1.077 & 1.099 \\ \hline 89.5% & 0.953 & 1.031 & 1.072 & 1.093 \\ \hline 90.0% & 0.949 & 1.026 & 1.066 & 1.087 \\ \hline 90.5% & 0.945 & 1.021 & 1.061 & 1.082 \\ \hline 91.0% & 0.941 & 1.016 & 1.056 & 1.076 \\ \hline 91.5% & 0.937 & 1.012 & 1.050 & 1.071 \\ \hline 92.0% & 0.933 & 1.007 & 1.045 & 1.065 \\ \hline 92.5% & 0.930 & 1.002 & 1.040 & 1.060 \\ \hline 93.0% & 0.926 & 0.998 & 1.035 & 1.054 \\ \hline 93.5% & 0.922 & 0.993 & 1.030 & 1.049 \\ \hline 94.0% & 0.918 & 0.989 & 1.025 & 1.044 \\ \hline 94.5% & 0.914 & 0.984 & 1.020 & 1.039 \\ \hline 95.0% & 0.911 & 0.980 & 1.015 & 1.033 \\ \hline 95.5% & 0.907 & 0.975 & 1.010 & 1.028 \\ \hline 96.0% & 0.903 & 0.971 & 1.006 & 1.023 \\ \hline 96.5% & 0.900 & 0.967 & 1.001 & 1.018 \\ \hline 97.0% & 0.896 & 0.962 & 0.996 & 1.013 \\ \hline 97.5% & 0.893 & 0.958 & 0.992 & 1.008 \\ \hline 98.0% & 0.889 & 0.954 & 0.987 & 1.003 \\ \hline 98.5% & 0.885 & 0.950 & 0.982 & 0.999 \\ \hline 99.0% & 0.882 & 0.946 & 0.978 & 0.994 \\ \hline 99.5% & 0.878 & 0.942 & 0.973 & 0.989 \\ \hline 100.0% & 0.875 & 0.938 & 0.969 & 0.984 \\ \hline \end{tabular} If off the chart use 100%
Step by Step Solution
There are 3 Steps involved in it
Get step-by-step solutions from verified subject matter experts
