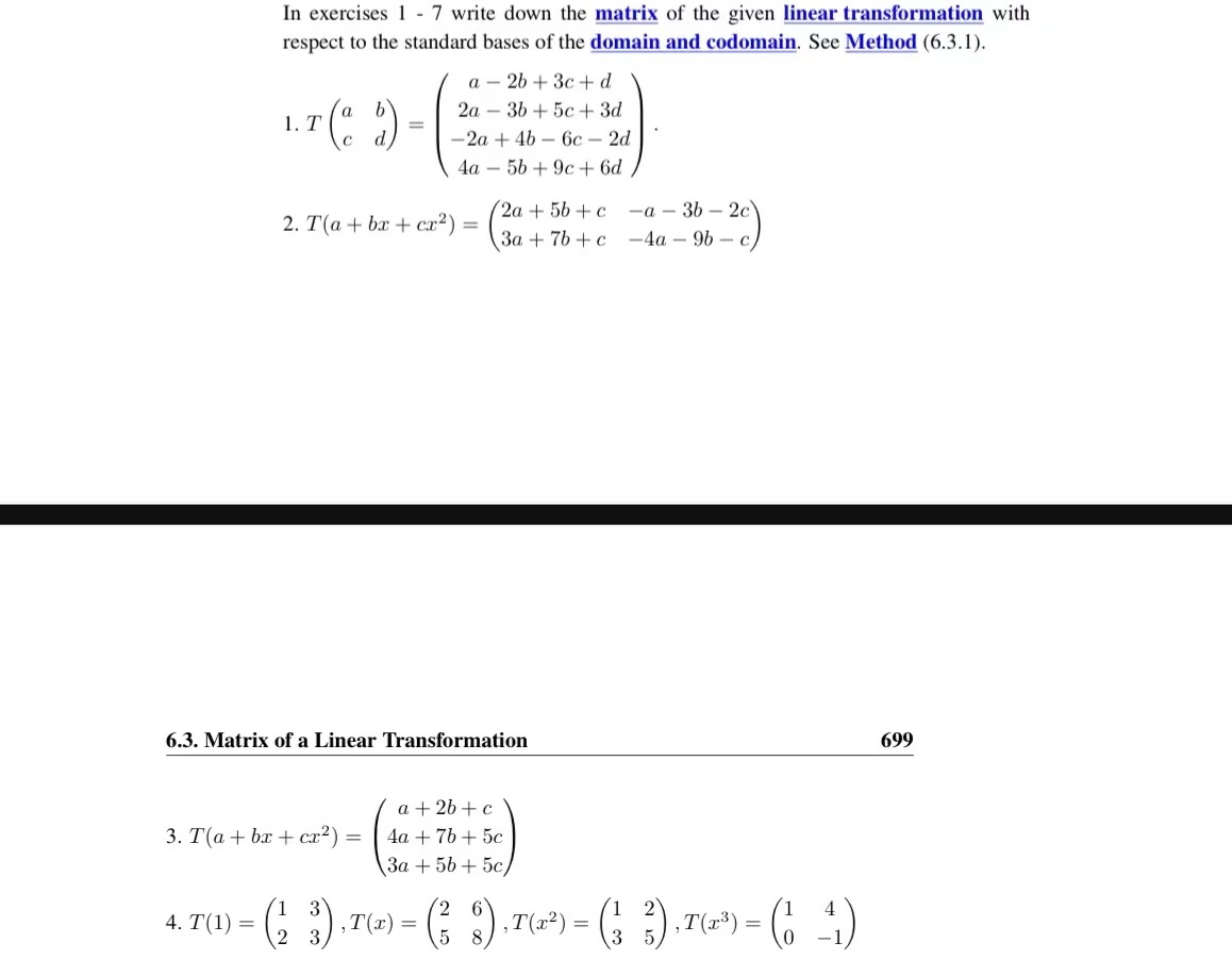
Question: Please only do question 4 Thanks In exercises 1 - 7 write down the matrix of the given linear transformation with respect to the standard
Please only do question 4 Thanks

Step by Step Solution
There are 3 Steps involved in it
Question 4 We are given a linear transformation T mathbbR2 to mathbbR2 and i... View full answer
Get step-by-step solutions from verified subject matter experts
