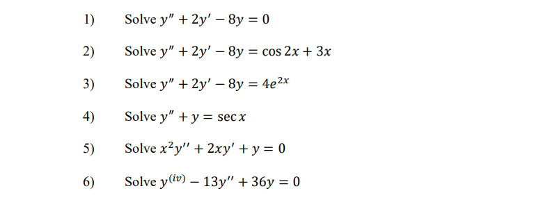
Question: Please only do questions 2, 3, and 5 using the undetermined coefficients method. Please Provide step by step solution. Also, please explain in detail how
Please only do questions 2, 3, and 5 using the undetermined coefficients method.
Please Provide step by step solution.
Also, please explain in detail how to deal with sec(x) when finding the particular solution for number 4

\f
Step by Step Solution
There are 3 Steps involved in it
Get step-by-step solutions from verified subject matter experts
