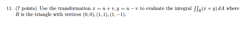
Question: Please only take this question if you can solve it quickly ! Please provide a NEAT and CORRECT answer for a BIG LIKE. Calculus 3:
Please only take this question if you can solve it quickly! Please provide a NEAT and CORRECT answer for a BIG LIKE.
Calculus 3:
-Show your work and Provide diagram(s) if needed.

Step by Step Solution
There are 3 Steps involved in it
Get step-by-step solutions from verified subject matter experts
