Question: please prove my manual calculation by using software matlap x -1 3) Find the equation of the normal curve of y = tan at x


please prove my manual calculation by using software matlap
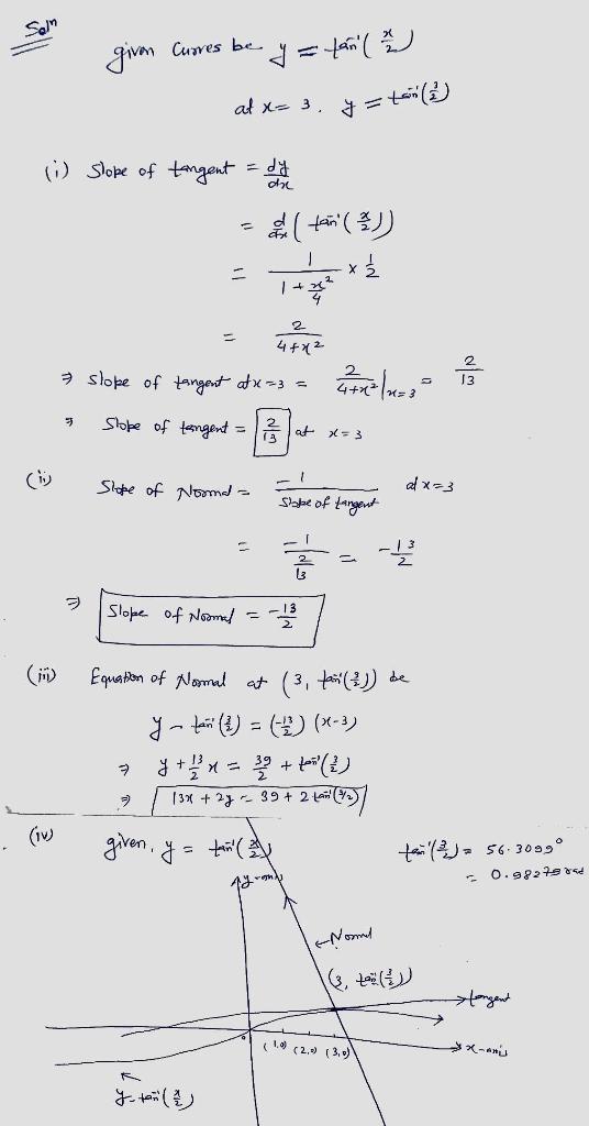
x -1 3) Find the equation of the normal curve of y = tan at x = 3 2. i. Find slope of the tangent at x = 3 ii. Find slope of the normal at x = 3 iii. Find equation of the normal X iv. Plot graph y = tan tangent and normal at x = 3 on the same plot. Soln given Curres be y = tan ( at x= 3. (1) slope of tangent = dy doc x 4+2 x 7 slope of tangent at x=3 = 2 (n=2 2 13 3 Slope of tingent = ( 12 / 3 at x=3 1 Slope of Normal- al x=3 Stape of tangent - 12/ slope of Normal = -13 Equation of Normal at (3, tani (2)) be y law () - (x-3) + y + 1 x = 3 + ken (2) 13x + 2y -- 39 + 2 - 39+ 2 tsi (6 given, y = tani ( ten(2) = 56.30990 (10) 19 0.98279&sd & Normal (s, tai (1) (2.0) (3.0) *-*
Step by Step Solution
There are 3 Steps involved in it
Get step-by-step solutions from verified subject matter experts
