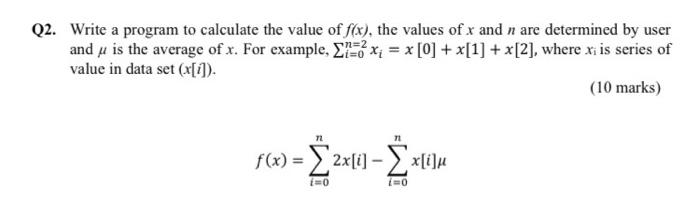
Question: Please Prove with manually and Algorithm C Programming Q2. Write a program to calculate the value of f(x), the values of x and n are
Q2. Write a program to calculate the value of f(x), the values of x and n are determined by user and u is the average of x. For example, "=2 x1 = x [0] + x[1] + x[2], where xi is series of value in data set (x[]). (10 marks) f(x) = { 2x(1) - x[ulu 0 10
Step by Step Solution
There are 3 Steps involved in it
Get step-by-step solutions from verified subject matter experts
