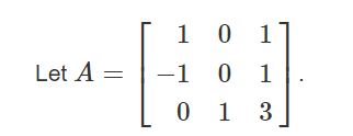
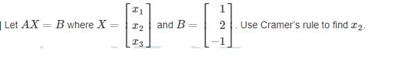
Question: Please provide a clear, correct and well explained solution for the following problems. Please solve and provide an explanation Based on this 101 Let A
Please provide a clear, correct and well explained solution for the following problems. Please solve and provide an explanation
Based on this





Step by Step Solution
There are 3 Steps involved in it
Get step-by-step solutions from verified subject matter experts
