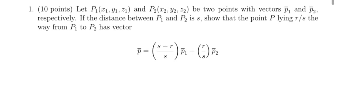
Question: Please provide a detailed solution with all steps shown for this problem. 1. (10 points) Let Pi(x1, y1, 21) and P2(12, y2, Z2) be two
Please provide a detailed solution with all steps shown for this problem.

1. (10 points) Let Pi(x1, y1, 21) and P2(12, y2, Z2) be two points with vectors p, and p2, respectively. If the distance between Pi and P2 is s, show that the point P lying r/s the way from P1 to P2 has vector S p = S - PI + ( P2
Step by Step Solution
There are 3 Steps involved in it
Get step-by-step solutions from verified subject matter experts
