Question: Please provide a unique, detailed and complete solution, and I will be sure to upvote your response. The following is a mathematical finance question; please
Please provide a unique, detailed and complete solution, and I will be sure to upvote your response.
The following is a mathematical finance question; please answer accordingly. Thank you :)

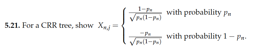
Xn,j=pn(1pn)1pnwithprobabilityppn(1pn)pnwithprobability1 Xn,j=pn(1pn)1pnwithprobabilityppn(1pn)pnwithprobability1
Step by Step Solution
There are 3 Steps involved in it
Get step-by-step solutions from verified subject matter experts
