Question: Please PROVIDE MATLAB CODE for this MATRIX Really appreciate for the MATLAB CODE please put comments also every line. UPVOTTTT FOR MATLAB CODE 5.3. Linear
Please PROVIDE MATLAB CODE for this MATRIX
Really appreciate for the MATLAB CODE please put comments also every line.
UPVOTTTT FOR MATLAB CODE
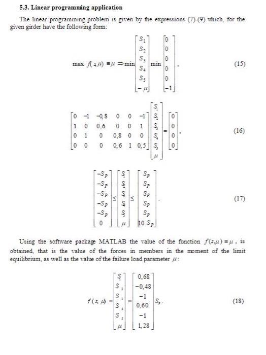
5.3. Linear programming application The linear programming problem is given by the expressions (7)-(9) which, for the given girder have the following form: maxf(s,)=minS1S2S3S4S5min000001=010010100,80,600000,80,600011100,5S1S3S3S4S3=0000,SPSPSPSPSP0SSSSSSPSPSPSPSP10SP. Using the software package MAIL.AB the value of the function f(s,), is obtained, that is the value of the forces in members in the moment of the limit equilibrium, as well as the value of the failure load parameter : f(s,)=SS2S2S4Si=0,680,4810,6011,28S5
Step by Step Solution
There are 3 Steps involved in it
Get step-by-step solutions from verified subject matter experts
