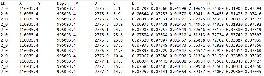
Question: Please provide python code to sort the data by depth ( shallow data first ) . Construct the covariance matirx of the data and finally
Please provide python code to sort the data by depth shallow data first Construct the covariance matirx of the data and finally evaluate the eigenvectors and eigenvalues of the covariance matrix.
Step by Step Solution
There are 3 Steps involved in it
1 Expert Approved Answer
Step: 1 Unlock
Question Has Been Solved by an Expert!
Get step-by-step solutions from verified subject matter experts
Step: 2 Unlock
Step: 3 Unlock
