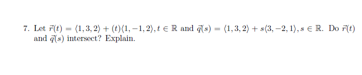
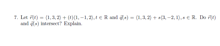
Question: Please read the question and leave notes on the answer where appropriate. Please DO NOT skip any steps. Please double check your answer. DO NOT

Please read the question and leave notes on the answer where appropriate. Please DO NOT skip any steps. Please double check your answer.DO NOT SUBMIT A TYPED RESPONSE. Please use a hand written response that is LEGABLE. Please review your answer to make sure all steps are clearly visible. Please double check your work. Thank you.
Show all your work and please make sure to Justify your answers.
I am having trouble finding this answer. Please double check your steps and do not submit a typed response that is not in LATEX.

Step by Step Solution
There are 3 Steps involved in it
Get step-by-step solutions from verified subject matter experts
