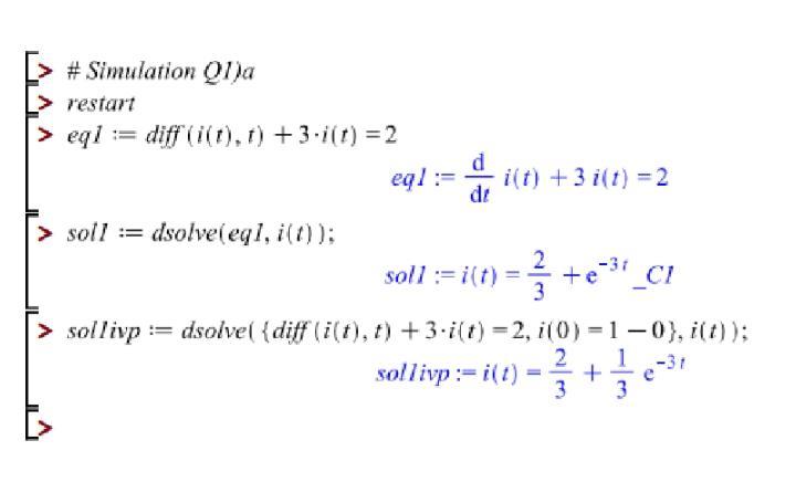
Question: Please Rewrite this code in Matlab and send it as soon as you can the code for simulation # Simulation Q1) > restart > eql
Please Rewrite this code in Matlab and send it as soon as you can the code for simulation
# Simulation Q1) > restart > eql := diff (i(t),1)+31(t) = 2 d eql:: i(t) + 3 i(t) = 2 ( de > soll == dsolvelegl, i(()); soll := i(t) = { +e-31_c1 3 > sollivp := dsolvel {diff (i(t), ) +3i(t) = 2, 110)=1-0), i(t)); 2 sollivp := i(t) i(t) = 3 +1
Step by Step Solution
There are 3 Steps involved in it
Get step-by-step solutions from verified subject matter experts
