Question: Please see attached mathematical statistics question below.All available and sufficient information is provided below: Please help solve part(e) How to find c1, c2 and obtain

Please see attached mathematical statistics question below.All available and sufficient information is provided below:

Please help solve part(e)

How to find c1, c2 and obtain confidence interval (CI) for (1 ? ?)100% for ??

I also attached the answers for 7a, 7b, 7c, and 7d for reference along with extensive additional information.

Please see attached mathematical statistics question below.All available and sufficient information isprovided below:Please help solve part(e)How to find c1, c2 and obtain confidenceinterval (CI) for (1 ? ?)100% for ?? I also attached theanswers for 7a, 7b, 7c, and 7d for reference along with extensiveadditional information. a) MLE: The maximum likelihood Estimator is the value of

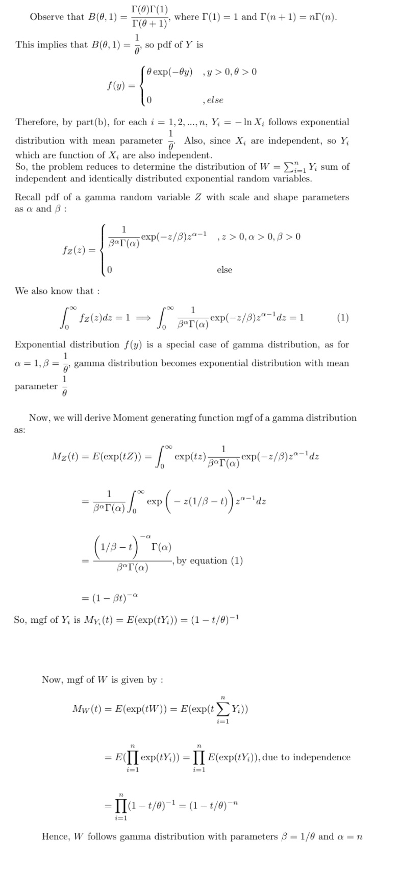
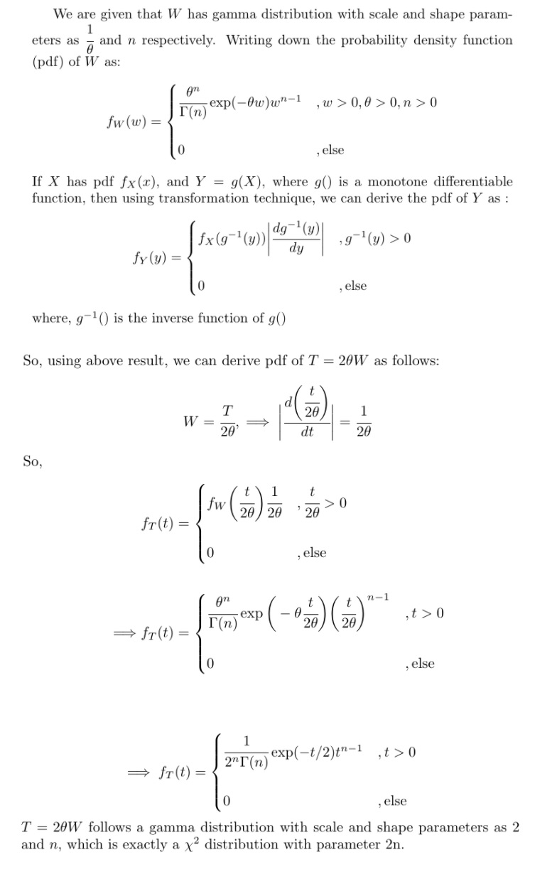
a) MLE: The maximum likelihood Estimator is the value of 0 at d logl(x.0) de != 0. Here, L(x, 0) is the likelihood function and L(x, 0) = IIt=1 f (x) From the given information, Xi follows Beta(0, 1) f ( x ) = = 20-1 (1-x)1-1 B(0,1) -,0 0Observe that B(0, 1) = r(0)r(1) T(0 + 1)' where r(1) = 1 and I(n + 1) = nT(n). This implies that B(0, 1) = -, so pdf of Y is Gexp(-by) , y > 0,0>0 f(y) = lo , else Therefore, by part(b), for each i = 1, 2, ..., n, Yi = - In X; follows exponential distribution with mean parameter . Also, since X, are independent, so Y; which are function of X, are also independent. So, the problem reduces to determine the distribution of W = >!_, Y; sum of independent and identically distributed exponential random variables. Recall pdf of a gamma random variable Z with scale and shape parameters as a and B : Bar(a) -exp(-z/B)20-1 , z > 0,a > 0, B>0 fz(2) = else We also know that : fz(2 )dz = 1 = Bar(@)exp(-z/B)za-1dz = 1 (1) Exponential distribution f(y) is a special case of gamma distribution, as for a = 1, B = -, gamma distribution becomes exponential distribution with mean parameter Now, we will derive Moment generating function mgf of a gamma distribution as: Mz(t) = E(exp(tz)) = exp(tz) a 1 exp(-z/B)za-'dz = Bar(a) Jo exp (- 2(1/B - t) za-'dz (1/B r(a) Bar(a) by equation (1) = (1 - Bt) - So, mgf of Y, is My. (t) = E(exp(tY)) = (1 - t/0)-1 Now, mgf of W is given by : Mw(t) = E(exp(tW)) = E(exp(t > Y:)) 1= 1 = E(II exp(ty.)) = II E(exp(ty.)), due to independence i=1 i=1 = II(1 -+/0)-1 = (1 -t/0)- i=1 Hence, W follows gamma distribution with parameters B = 1/0 and a = nWe are given that W has gamma distribution with scale and shape param- eters as - and n respectively. Writing down the probability density function (pdf) of W as: fw(w) = T(n) exp(-Ow)wn-1 , w > 0,0 > 0,n >0 , else If X has pdf fx(x), and Y = g(X), where g() is a monotone differentiable function, then using transformation technique, we can derive the pdf of Y as : fx (9 -1 (y) ) dg- ( y ) fy(y) = dy ,9-' (y ) >0 o , else where, g-'() is the inverse function of g() So, using above result, we can derive pdf of T = 20W as follows: W = H 2A 20' 20 So, fw 1 fr(t) = 20 20 , else An n-1 - exp , t>0 = fr(t) = r(n) 20 20 , else 1 exp(-t/2)tn-1 , t>0 - fr(t) = 2"T(n) , else T = 20W follows a gamma distribution with scale and shape parameters as 2 and n, which is exactly a x2 distribution with parameter 2n

Step by Step Solution

There are 3 Steps involved in it

1 Expert Approved Answer
Step: 1 Unlock blur-text-image
Question Has Been Solved by an Expert!

Get step-by-step solutions from verified subject matter experts

Step: 2 Unlock
Step: 3 Unlock

Students Have Also Explored These Related Mathematics Questions!