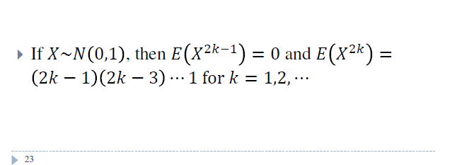
Question: Please see image. Can you please explain/demonstrate why these are true? This appeared in the class notes but I am not sure why it is
Please see image. Can you please explain/demonstrate why these are true?
This appeared in the class notes but I am not sure why it is significant results?
Thank you!

Step by Step Solution
There are 3 Steps involved in it
1 Expert Approved Answer
Step: 1 Unlock
Question Has Been Solved by an Expert!
Get step-by-step solutions from verified subject matter experts
Step: 2 Unlock
Step: 3 Unlock
