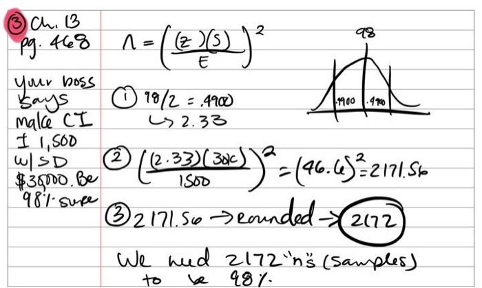
Question: please see the example and use the same formula to answer question 7 please make it organized pg. 468=(E(z)(5))2 your boss (1) 98/2=.4900 malkCI 2.33
please see the example and use the same formula to answer question 7 please make it organized
pg. 468=(E(z)(5))2 your boss (1) 98/2=.4900 malkCI 2.33 1,500 98% sure (3) 2171.56 rounded 212 We heed 2172n "' (samples) to be 98% 7. Suppose you are trying to calculate the average amount of sales you derive from your customers. You want to be 8996 sure of yourself when you present you figures to the board of directors. You also want to be within $1,850 of the answer. Now suppose your calculations are telling you that the standard deviation will be $49,000. How large must your sample size be to allow you to stay within your $1,850 allowable crror range? Assume you cannot sample a partial piece of data, so round up

Step by Step Solution
There are 3 Steps involved in it
1 Expert Approved Answer
Step: 1 Unlock
Question Has Been Solved by an Expert!
Get step-by-step solutions from verified subject matter experts
Step: 2 Unlock
Step: 3 Unlock
