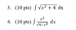
Question: Please show all work, step by step. Thank you so much! Evaluate the following integrals. 3. ( 10 pts ) Svx2 + 4 dx 2

Please show all work, step by step. Thank you so much!
Evaluate the following integrals.

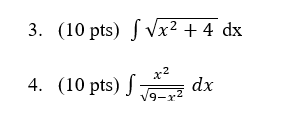
3. ( 10 pts ) Svx2 + 4 dx 2 4. ( 10 pts dx
Step by Step Solution
There are 3 Steps involved in it
Get step-by-step solutions from verified subject matter experts
